出品:科普中国
作者:栾春阳、王雨桐(清华大学物理系博士)
监制:中国科普博览
在量子力学恢弘殿堂的建造史上,马克斯·玻恩(Max Born)扮演着至关重要的双重角色:他不仅是为其注入深邃“灵魂(概率诠释)”的哲学家,更是亲手为其奠定坚实“框架(矩阵形式)”的伟大建筑师。
1925年,当年轻的沃纳·海森堡(Werner Heisenberg)带着颠覆经典物理图景的模糊构想回到哥廷根时,玻恩就以其非凡的物理直觉和深厚的数学洞察力,敏锐地识别出其中蕴藏的革命性潜力。玻恩果断行动,不仅为海森堡的思想提供了关键的数学识别(矩阵形式),更组织起包括数学物理学家帕斯库尔·约旦(Pascual Jordan)在内的团队,将零散的灵感火花锻造为系统、严谨的理论体系。
玻恩在矩阵力学建立过程中的贡献远不止于参与,他更是核心的推动者、完善者、捍卫者,并最终为其注入了灵魂。这段跨越代际与专业的合作,完美诠释了理论物理研究中“物理直觉”与“数学形式”的精妙结合。而玻恩,无疑是主导这一结合的灵魂人物。矩阵力学的成功建立,连同他随后提出的概率诠释,共同构成了支撑现代量子力学大厦最核心的梁柱,彰显了玻恩作为量子理论奠基人的不朽功勋。
01 慧眼识珠——玻恩与矩阵力学的艰难降生
1925年,原子光谱的精确规律如同难解的密码,挑战当时物理学家的智慧。为了寻找原子光谱的理论解释,海森堡选择只使用可观测的物理量(例如,光谱线的频率和强度)来构建理论,而不去假设不可观测的电子轨道。
于是,海森堡将不同能级间的跃迁量排列组合进行数学运算,却发现了一个奇特现象:运算结果依赖于乘法的顺序!这与经典物理和日常代数遵循的交换律
当海森堡将这份充满疑惑的手稿呈交给导师玻恩时,历史的关键转折点出现了。玻恩凭借其卓越的数学素养,很快便认出了海森堡表格中那些“不听话”的运算规则所对应的数学结构——矩阵代数。
玻恩的这次识别是决定性的。他没有停留在欣赏弟子的直觉上,而是迅速而坚定地采取了行动:他明确告知海森堡其工作的数学本质是矩阵,并立即着手组织力量进行系统化。玻恩深知自身在矩阵代数具体运算上的不足,于是邀请了精通此道的年轻助教约旦加入合作。玻恩在这一阶段的核心角色是识别方向、搭建团队、提供关键数学认知。
在玻恩的领导和协调下,三人合作高效推进:海森堡提供物理思想的核心,玻恩把握整体方向、洞察物理与数学的对应关系,约旦则承担起繁复而精密的数学推导工作。玻恩是合作的灵魂和组织者。
1925年,以玻恩和约旦署名的论文《Zur quantenmechanik》发表,这篇在玻恩主导下完成的论文,首次系统地将矩阵确立为量子力学的基本数学工具,清晰地阐述了矩阵运算规则(特别是非交换的乘法),并开始将位置、动量等物理量表示为矩阵。

图1 玻恩与约旦的矩阵力学早期合作论文
(图片来源:参考文献[3])
紧接着,1926年,三人合作的集大成之作《Zur quantenmechanik. II.》问世。这篇同样凝聚了玻恩核心思想的论文,为矩阵力学奠定了坚实的公理化基础,明确了其数学框架和物理原理。矩阵力学作为一个完整的理论正式诞生,而玻恩是这一诞生过程中不可或缺的主导者。

图2 玻恩、海森堡、约旦合作发表的矩阵力学系统化论文
(图片来源:参考文献[1])
然而,新生理论的成长总是伴随着质疑的阵痛。矩阵力学彻底摒弃了物理学家长久以来依赖的直观空间图像和连续轨迹描述,将物理实在抽象为矩阵元和陌生的非交换代数运算。这种高度抽象的形式让许多习惯于经典物理图像的学者感到难以理解甚至强烈抵触,“不物理”成为常见的批评。
面对汹涌的质疑浪潮,玻恩则是挺身而出,成为矩阵力学最坚定、最有力的捍卫者。他在哥廷根的研讨班、在重要的学术会议上,反复地、耐心地为这个“怪异”的理论辩护。玻恩辩护的核心武器始终是“经验证实”这一科学理论的终极判据。他雄辩地指出:矩阵力学虽然牺牲了传统意义上的直观性,但它能够系统、精确地计算并再现已知的高精度光谱实验结果(如氢原子光谱的巴耳末系),这是任何有生命力的物理理论必须做到的,也是其正确性的最终证明。正是玻恩这种基于实证的坚定立场和富有说服力的辩护,使矩阵力学在最初的激烈争议中站稳了脚跟,并逐渐赢得部分同行的认真对待和接受。 玻恩的学术领导力和说服力,是矩阵力学早期生存和发展的关键保障。
02 中流砥柱——玻恩奠定矩阵力学的基石
玻恩在矩阵力学确立和发展过程中的贡献是奠基性的和全方位的。他远不止是一位慧眼的发现者和坚定的辩护者,更是为这座理论大厦浇筑混凝土、搭建主梁的工程师。他的核心工作体现在两个密不可分的维度:数学形式的严格化与物理意义的深化。这两个维度的工作,都深深烙上了玻恩的印记。
1)数学形式的严格化:玻恩主导构建理论框架
海森堡的初始想法闪烁着物理直觉的光芒,但在数学上却是模糊和不完备的。玻恩认识到,要将这个革命性的想法变成坚实的理论,必须赋予其严谨的数学形式。在海森堡与约旦的合作中,首要目标就是将海森堡跳跃性的物理直觉,转化成一个逻辑严密、自洽的数学体系。在玻恩署名的关键论文中,他们系统地完成了矩阵力学的数学建构:
物理量的矩阵表示:明确将系统的可观测量(如位置坐标、动量、能量等)表示为矩阵(通常是无限维);
运动方程:给出了量子系统的动力学方程,即矩阵如何随时间演化;
核心支柱:非对易关系的发现与确立,这是玻恩及其合作者对量子力学最深刻、影响最深远的贡献之一。
在玻恩的指导下进行数学推导时,为了满足能量守恒等基本原理,他们发现并明确表述了量子力学最核心的关系之一 —— 位置矩阵

其中,
这个“非对易关系”绝非数学巧合,它深刻揭示了量子世界与经典世界最根本的差异之一:在微观领域,同时精确测量某些成对的物理量(如位置和动量)在原则上是不可能的。玻恩主导确立的这个关系,成为了量子力学数学结构中最核心的支柱。它不仅完美解释了海森堡最初遇到的乘法顺序异常,更直接为海森堡本人稍后提出不确定性原理(测不准原理)提供了坚实的数学基础。
可以说,玻恩的工作,将海森堡的灵感火花,锻造成了具有强大数学威力和深刻物理内涵的理论基石。

图3 马克斯·玻恩(Max Born)、沃纳·海森堡(Werner Heisenberg)
以及帕斯库尔·约旦(Pascual Jordan)的人物图
(图片来源:Wikipedia)
2)物理意义的深化:玻恩连接理论与实验
玻恩深谙理论物理学的真谛 —— 一个数学上再优美的理论,若不能清晰地解释物理现象并接受实验检验,终将是空中楼阁。因此,在推动矩阵力学数学严格化的同时,玻恩始终不遗余力地致力于阐明其物理内涵,并不断强调其与实验的紧密联系。这是他在矩阵力学发展中另一项核心贡献。
玻恩最常引用的、也是最具说服力的矩阵力学成功案例,就是它对原子光谱的卓越解释能力。他详细阐述了矩阵力学如何能够系统、自然地推导出原子能级公式(例如类氢原子光谱的精细结构),并计算光谱线的强度(即跃迁发生的概率),其结果与当时已知的高精度光谱实验数据高度吻合。
玻恩反复向学界强调:矩阵力学绝非数学家书斋里的智力游戏,而是物理学家手中理解原子世界运行规律的有效且强大的工具。他通过具体案例展示了理论的预测和解释能力。在哥廷根的课堂和讲座中,玻恩总是耐心地、一步步地向学生和同行演示如何用矩阵力学计算具体的原子光谱问题,以此彰显其坚实的物理实在性。
在矩阵力学框架下,“量子跃迁”不再是玻尔模型中人为附加的假设,而是理论本身自然推导出的核心过程。系统状态的变化被理解为不同定态(能级)之间的跃迁。玻恩认同并阐释了这种描述方式,认为它虽然放弃了经典连续运动的图像,却有效地捕捉了量子过程内在的、本质的非连续性。
玻恩在哥廷根的组织和教学工作,也是矩阵力学得以迅速传播和发展的关键。他开设的课程和研讨班,成为传播这一革命性理论的重要中心。玻恩以其清晰的物理图像、深厚的数学功底和对新思想的开放态度,吸引并培养了众多才华横溢的年轻物理学家。沃尔夫冈·泡利(Wolfgang Pauli)、恩里科·费米(Enrico Fermi)、尤金·维格纳(Eugene Wigner)、罗伯特·奥本海默(J. Robert Oppenheimer)等未来巨擘,都曾在哥廷根直接受到玻恩思想的深刻影响,透彻理解了矩阵力学的精髓。玻恩不仅构建了理论,更通过教育培养了一代量子力学的实践者和开拓者,确保了矩阵力学思想的迅速传播和量子力学整体的蓬勃发展。玻恩的学术领导力和教育贡献,是其构建量子力学“骨架”工作中不可或缺的一部分。
03 矩阵力学与波动力学的统一 —— 一枚硬币的两面
1926年初,埃尔温·薛定谔(Erwin Schrödinger)提出了另一种截然不同的量子理论表述 —— 波动力学。薛定谔方程以连续的波函数
然而,薛定谔本人很快做出了一个关键贡献:他在1926年的论文中,严格证明了矩阵力学与波动力学在数学上是完全等价的!这意味着,虽然两者使用的数学语言迥异,切入点不同,但它们描述的是同一物理实在。如同一枚硬币的两面,物理学家可以根据具体问题的性质选择更便捷的工具。
玻恩对这一划时代的发现展现出了非凡的开放性和远见卓识。他没有固守自己参与创立的矩阵形式,而是热情地拥抱了这种等价性,并深刻认识到其重大意义。玻恩指出,这种等价性表明量子力学已经发展成为一个足够丰富和坚实的理论框架,能够容纳不同的数学表述。玻恩的开放性态度极大地促进了学界的接受,并丰富了理论物理学的工具箱。
更重要的是,这种统一为玻恩自己的革命性思想“概率诠释”的提出铺平了道路,并最终由他完成了概念上的统一。就在薛定谔证明等价性后不久,玻恩在处理碰撞(散射)问题时,对波动力学中的波函数
结语
回望量子力学的创建历程,马克斯·玻恩在矩阵力学诞生与发展中的决定性作用,奠定了其作为量子理论主要奠基人的历史地位。当海森堡带来颠覆性的思想火花时,是玻恩以其深邃的物理洞察力和数学眼光,第一时间识别出其革命性价值,并精准地指明了其数学本质——矩阵。他不仅是慧眼识珠者,更是果断的行动者与卓越的组织者,将模糊构想转化为严谨理论。
玻恩在矩阵力学中的贡献是全方位和奠基性的:他识别并引入矩阵代数作为核心工具;主导构建了理论的数学框架(公理化体系、运动方程);发现并确立了揭示量子世界根本特征的非对易关系;不遗余力地阐释理论物理意义,坚定捍卫其与实验的紧密联系;并通过教学培养人才,推动理论传播。

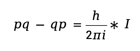
图4 马克斯·玻恩(Max Born)在哥廷根的墓碑上刻着正则交换关系
(图片来源:Wikipedia)
矩阵力学的成功建立,标志着量子力学从经验规则飞跃为系统理论。玻恩主导构建的这套以可观测量为核心、以非对易代数为特征的数学“骨架”,为量子世界建立了普适的描述框架。它不仅直接解释了原子光谱,更成为后续所有量子理论发展的基石——波动力学的等价性、概率诠释的提出、不确定性原理乃至量子场论,无不建立在此基础之上。没有玻恩奠定的“骨架”,现代量子物理学的宏伟大厦就无从建立。
参考文献:
[1] Born M, Heisenberg W, Jordan P. Zur quantenmechanik. II[J]. Zeitschrift für Physik, 1926, 35(8): 557-615.
[2] Heisenberg W. On the quantum-theoretical reinterpretation of kinematical and mechanical relationships[J]. Z. Physik, 1925, 33: 879-893.
[3] Born M, Jordan P. Zur quantenmechanik[J]. Zeitschrift für Physik, 1925, 34(1): 858-888.
[4] Schrödinger E. Quantisierung als eigenwertproblem[J]. Annalen der physik, 1926, 385(13): 437-490.
[5] Born M. Born-Einstein Letters: Friendship, politics, and physics in uncertain times.(1971)[J].
[6] Rechenberg H. The historical development of quantum theory[M]. Springer Science & Business Media, 1982.

来源: 中国科普博览
内容资源由项目单位提供
科普中国公众号
科普中国微博

帮助
中国科普博览 