出品:科普中国
作者:栾春阳 王雨桐(清华大学物理系博士)
监制:中国科普博览
埃尔温·薛定谔(Erwin Schrödinger),这位在1933年与狄拉克共同获得诺贝尔物理学奖的奥地利物理学家,是20世纪科学史上一位举足轻重的存在。凭借着他天才的波动力学方程(Schrödinger equation),薛定谔为量子世界奠定了理论基石,彻底改变了人类对微观粒子的认知。而他同样以敏锐的思想深度,用一只“半死半活”的猫挑战物理学最根本的哲学问题。薛定谔的影响跨越了学科的边界:不仅重塑了物理学的框架,也深刻影响了哲学、生命科学及其他领域。
1926年,量子力学迎来了决定性的发展。尽管量子理论已在科学界崭露头角,但如何准确描述微观世界仍是一个未解的难题。海森堡提出的矩阵力学虽然可以进行计算,但其数学结构晦涩,缺乏直观的物理图像。就在此时,薛定谔提出了量子力学的波动方程——一个看似简洁、却极具革命性的公式。它不仅改变了量子理论的数学框架,还为我们提供了一个全新的视角,帮助我们理解微观世界的本质。
然而,薛定谔的贡献远远超出了方程本身。1944年,他出版了《生命是什么?》,以物理学的语言深入探讨生命的奥秘。这本小册子后来的影响力巨大,它启发了一代生物学家,其中包括DNA双螺旋结构的发现者。可以说,薛定谔的遗产呈现出双重面貌:一方面是改变科学进程的数学工具,另一方面则是对存在与生命的深刻哲学探问。从这里开始,我们追溯他从维也纳走向学术巅峰的历程。
01 从维也纳到苏黎世——薛定谔的早年岁月与学术萌芽
1906年,薛定谔进入维也纳大学学习物理与数学,并受到了物理学家弗里德里希·哈泽内尔的深刻影响。哈泽内尔作为玻尔兹曼的学生,致力于统计力学和辐射理论,这为薛定谔后来对量子问题的思考埋下了伏笔。1910年获得博士学位后,薛定谔被卷入了第一次世界大战,服役于奥地利炮兵部队。战火让他对生命和存在有了更加深刻的思考,这种跨学科的思维方式在他后来的工作中显露无遗。战后,他在德国与瑞士的多所大学任教:耶拿、斯图加特、布雷斯劳,最后定居于苏黎世。正是在这一时期,薛定谔逐渐形成了他独特的研究风格和理论框架。

图1 埃尔温·薛定谔(Erwin Schrödinger)在1933年的肖像图
(图片来源:Wikipedia)
20世纪20年代,量子理论飞速发展。1925年,维尔纳·海森堡提出了矩阵力学,并由玻恩和约旦完善。尽管矩阵力学在数学上严谨精确,能够描述量子现象,但其抽象的形式缺乏直观的物理图像,难以被许多学者接受。与此同时,路易·德布罗意在1924年的博士论文中提出了物质波假设,认为粒子不仅具有粒子性,还应该具有波动性。这一思想对薛定谔产生了深远的影响,让他意识到,若能将粒子视作波动,或许能够用一个直观的方程来统一描述量子现象。
正是在这样的背景下,薛定谔开始了对“物质波”的深刻思考。他敏锐地意识到,若能将德布罗意的假设写成普适的方程,便能为量子力学开辟一条全新的道路。1925年圣诞假期,薛定谔在瑞士阿尔卑斯山度假时,带着德布罗意的论文,边散步边思考如何将波动与能量的关系联系起来。谁也没有想到,这些雪山间的灵感,最终会在1926年化作震撼物理学界的伟大成果——薛定谔方程。
02 奇迹之年——薛定谔方程的诞生与波动力学的提出
1925年,量子力学正经历着剧烈的变革。海森堡的矩阵力学为量子理论提供了第一个完整的数学框架,然而它的抽象形式使许多学者难以理解。科学家们迫切需要一种更直观的方式来刻画微观粒子的运动。在这一背景下,薛定谔开始了他决定性的探索。
1924年,路易·德布罗意在博士论文中提出物质波假设,认为微观粒子不仅具有粒子性,还应具有波动性。这一思想在1925年传到苏黎世后,引发了薛定谔的灵感:如果粒子真是波动的,那么是否存在一个类似于经典波动方程的数学形式来统一描述它们的行为?这一问题成为他新理论的起点。

图2 1926年,薛定谔发表题为《作为本征值问题的量子化》的系列论文
(图片来源:参考文献[1])
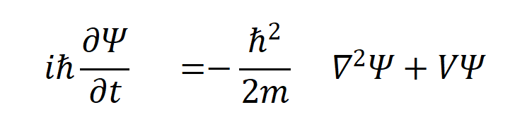
1926年1月至6月,被科学史家称为“薛定谔的奇迹半年”。在此期间,他连续发表了四篇论文,总题为《作为本征值问题的量子化》(Quantisierung als Eigenwertproblem)。在第一篇论文中,他提出了那个改变物理学的方程:

其中,Ψ是波函数,用以描述量子系统的状态;ħ是约化普朗克常数;m是粒子的质量;V是势能函数。这个方程揭示了微观粒子随时间演化的规律。
薛定谔方程的推导并非凭空而来。他从经典力学的哈密顿–雅可比方程出发,结合德布罗意的波粒二象性思想,并借鉴光学中的电磁波方程,最终建立了波动力学框架。最有力的验证来自氢原子:他用方程求解电子能级,结果与玻尔模型的预测完全一致,但不再需要额外的“量子化条件”。能级自然而然地从方程的边界条件中出现,这让物理学家们震惊不已。
在后续论文中,薛定谔展示了波函数如何解释量子态的叠加与跃迁。他还在第四篇论文中证明了波动力学与海森堡的矩阵力学在数学上的等价性,指出它们只是同一物理实在的不同表述。与此同时,1926年马克斯·玻恩提出了概率解释,明确指出
表示在某一位置找到粒子的概率密度。这一解释赋予波函数清晰的物理意义,也为薛定谔的理论补上了关键的一环。
薛定谔方程的问世迅速震撼了整个学界。爱因斯坦在写给薛定谔的信中赞叹道:“这不是胡言乱语,而是真正的天才之作。”就连原本质疑波动观点的玻尔,也不得不承认波动力学在量子力学发展中的重要地位。波函数的引入改变了人类对微观的理解:粒子的运动不再是确定的轨迹,而是以概率波的形式存在,直到测量时才坍缩为一个结果。这种观点彻底颠覆了经典物理的确定论,标志着量子力学进入了新的纪元。
03 世纪之争——波动力学与矩阵力学的交锋与统一
1926年,量子力学的两大理论体系——海森堡的矩阵力学与薛定谔的波动力学——展开了激烈的交锋。这场学术争论不仅是量子力学早期发展的核心章节,也标志着量子理论逐渐走向成熟。
矩阵力学由海森堡在1925年提出,随后由玻恩和约旦加以完善。它以抽象的矩阵来描述粒子的状态,形式新颖且极具数学严谨性,却几乎不提供直观的物理图像。对于习惯用几何与微分方程来理解自然的学者来说,矩阵力学就像一门陌生的数学语言,难以与日常物理直觉相连接。
薛定谔的波动力学则在1926年迅速走红。他用偏微分方程写出了量子粒子的波动方程,使电子的行为能够用类似于经典波动现象的方式加以刻画。电子不再是孤立的小球,而是一种分布在空间中的波动模式。这种表述在数学工具上熟悉,在物理图像上直观,因此赢得了更多学者的青睐。
然而,这两种理论并非相安无事。海森堡和薛定谔在文章与演讲中多次交锋。海森堡批评薛定谔的波动力学“过于形象化”,担心这种直观掩盖了量子力学的深刻本质;薛定谔则讥讽矩阵力学“缺乏美感”,难以令人信服。在一次访问哥本哈根的学术交流中,他甚至因激烈的争论而病倒,这段插曲成为科学史上的趣闻。由此可见,这不仅是一场关于数学形式的争论,更是一场关于量子世界本质的哲学分歧。
转机出现在1926年春天。薛定谔在第四篇论文中证明了波动力学与矩阵力学在数学上完全等价,它们只是同一物理实在的不同表述。与此同时,玻恩提出了著名的概率解释,指出波函数的平方
表示在某一位置找到粒子的概率密度。这一解释赋予波动力学以明确的物理意义,也帮助它在与矩阵力学的比较中站稳了脚跟。
随着狄拉克引入算符形式并将两种理论提升到更一般的层次,再加上玻尔和海森堡推动的“哥本哈根诠释”,量子力学的两大分支终于融汇为一个统一的整体。矩阵力学的数学严谨与波动力学的直观图像互为补充,成为现代量子理论不可或缺的两大支柱。

图3 1933年,埃尔温·薛定谔(Erwin Schrödinger)获得诺贝尔物理学奖
(图片来源:Wikipedia)
这种统一标志着量子力学的真正成熟。它不仅解释了经典物理学无法理解的现象,如原子能级结构、量子叠加和后来的隧穿效应,还为化学、材料学、粒子物理等学科的发展奠定了坚实的理论基础。正是在这场“世纪之争”的激烈交锋与最终融合中,量子力学完成了自我塑造,成为20世纪最深刻、最具革命性的科学成果之一。
结语
薛定谔在量子力学发展中的地位,正是通过这场“世纪之争”的交锋与统一而确立的。他不仅用波动方程为微观世界提供了前所未有的描述,还推动量子理论从分裂走向统一。1926年的“奇迹半年”,不仅成就了薛定谔个人的巅峰,也让整个量子力学迎来了真正的成熟。
薛定谔的波动方程改变了人类理解自然的方式:电子能级自洽地从方程中涌现,概率波取代了确定性的轨迹,揭示了一个全新的微观图景。这一转变为原子物理、量子化学,乃至现代量子科技的发展奠定了根基。然而,薛定谔本人却并未完全认同后来的“哥本哈根诠释”。在他看来,波函数应当对应某种更深层次的实在,而不仅仅是统计工具。
正因如此,1935年他提出了一个匪夷所思的思想实验:在一个密封的盒子里,一只猫的生死竟要依赖于量子粒子的叠加状态。那只“半死半活”的猫,把量子理论推向了最荒诞的边缘,也让人们不得不直面一个更尖锐的问题——量子力学究竟在描述现实,还是仅仅在描述我们对现实的认知?
这只猫至今仍在“盒子里”,在科学史与哲学史上挥之不去。接下来,我们就要打开这个盒子,去看看薛定谔为何要让一只猫成为量子力学最著名的象征。
参考文献:
[1] Schrödinger E. Quantisierung als eigenwertproblem I–IV[J]. Annalen der physik, 1926, 79: 361–376; 79: 489–527; 80: 437–490; 81: 109–139.
[2] Heisenberg W. Über quantentheoretische Umdeutung kinematischer und mechanischer Beziehungen[M]//Original Scientific Papers Wissenschaftliche Originalarbeiten. Berlin, Heidelberg: Springer Berlin Heidelberg, 1985: 382-396.
[3] Born M. Quantenmechanik der stoßvorgänge[J]. Zeitschrift für physik, 1926, 38(11): 803-827.
[4] De Broglie L. Recherches sur la théorie des quanta[D]. Migration-université en cours d'affectation, 1924.
[5] Dirac P A M. The fundamental equations of quantum mechanics[J]. Proceedings of the Royal Society of London. Series A, Containing Papers of a Mathematical and Physical Character, 1925, 109(752): 642-653.
[6]Schrödinger E. Die gegenwärtige Situation in der Quantenmechanik[J]. Naturwissenschaften, 1935, 23(50): 844-849.
[7]Schrodinger E. What is life?: the physical aspect of the living cell[J]. 1946.

来源: 中国科普博览
内容资源由项目单位提供
科普中国公众号
科普中国微博

帮助
中国科普博览 