每年 6 月至 9 月,印度孟买进入季风季节。近年来,孟买极端降雨事件频发,平均降雨量较 2019 年前增加了近 40%。这座拥有 1800 万人口的沿海城市常因暴雨陷入混乱:天气预警滞后往往导致停工停学甚至严重洪灾,季风带来的重大灾害对更精准的本地化天气预测提出了迫切需求。
然而,在热带季风气候下,标准全球天气模型约 25 平方公里的分辨率难以捕捉局部天气系统的细微差异,地形的复杂性也加剧了洪水的空间不确定性。因此,对季风预测此前仅限于宏观趋势。
为填补城市洪水风险预判对缺口,印度理工学院孟买分校与马里兰大学研究团队合作开发了基于卷积神经网络(CNN)和迁移学习(CNN-TL)的超本地预测模型,实现了提前数天预测大部分强降雨事件。根据 Science 最新报道,目前,孟买方面已经考虑将其纳入官方预警体系,标志着南亚城市洪水预报进入了超本地化的新阶段。
相关研究成果以「Hyperlocal Extreme Rainfall Forecasts in Mumbai: Convolutional Neural Network Transfer Learning-Based Downscaling Approach」为题,预发表于 SSRN。
研究亮点:
* 实现城市尺度的超本地化预测,将分辨率下调至城区级别,弥补了传统数值模式(25km)网格的洪灾风险预测缺陷;
* 采用卷积神经网络与迁移学习的结合方法,基于全量降雨数据训练模型,并使用用极端降雨样本微调,有效提高模型的极端事件捕捉能力;
* 通过事件同步方法和 Louvain 算法揭示了孟买极端降雨的空间同步模式,效率高于传统聚类方法。

论文地址:
https://go.hyper.ai/j05Vt
关注公众号,后台回复「印度季风预测」获取完整 PDF
更多 AI 前沿论文:
https://hyper.ai/papers
「模式数据+预报数据」,根据数据缺口筛选 36 个观测站点
这项研究使用的数据集分为模式数据和实测数据 2 类:
模式数据:来自美国国家环境预报中心(NCEP)的全球预报系统(GFS),时间覆盖 2015 年 6 月至 2023 年 9 月,空间范围在北纬 18°–20°、东经 72°–74°,分辨率为 0.25°×0.25°;
预报数据:来自孟买市政公司(MCGM)布设的自动气象站(AWS),记录周期为每 15 分钟一次,时间范围为 2006 至 2023 年(不含 2014 年)。由于部分站点存在缺测和数据不连续,研究仅选取了在 2015 至 2023 年季风季(6 至 9 月)期间数据完整度较高的 36 个观测站点用于分析。
为保证输入数据质量并提高模型的预测性能,研究团队对数据进行了缺测剔除、变量筛选和空间匹配等处理。对于自动气象站的原始观测数据,研究团队筛选掉数据缺口过大的站点,仅保留在季风季(6–9 月)中有连续 5 年以上完整记录的站点。同时,研究人员在模式数据中通过相关性筛选方法选取了与降雨关系较强的气象因子(如可降水量、降水、相对湿度、温度、气压等)作为预测变量 。
预处理完成后,研究团队将 GFS 的网格数据与站点观测数据对齐,构建「输入-输出」对,作为卷积神经网络和迁移学习模型的训练样本。
基于卷积神经网络与迁移学习的降雨预测
该模型以 GFS 数据为输入,结合实测降雨,先通过卷积神经网络将粗分辨率预报下调至站点尺度,再用迁移学习优化极端降雨预测,最后结合站点对比识别区域暴雨同步性,提高整体预报精度。

极端降雨预测模型流程图
基于事件同步方法的 Louvain 聚类
该研究引入了事件同步(Event Synchronization)方法,通过比较不同站点的降雨时间序列识别区域性暴雨,揭示城市中极端降雨的空间同步模式。
该方法相比传统的线性相关分析,更适合捕捉突发性强、非线性特征明显的极端降雨情况。
研究团队在输入预处理数据后,通过相关性分析筛选出与降雨关系最密切的 GFS 变量,并将每个站点在观测期内的极端降雨过程视为「事件」,通过计算站点间事件发生的时间差与频率评估其在时间序列上的同步性。
输出站点间的事件同步矩阵后,研究人员进一步采用 Louvain 算法对关系进行聚类,将具有相似降雨同步特征的站点划分到同一组别。
卷积神经网络模型下调(Downscaling)
在完成聚类划分后,研究团队基于卷积神经网络模型,将 GFS 分辨率较低的 数据逐步下调为站点尺度。
研究人员首先对 GFS 的网格化气象变量进行筛选,保留与降雨关系最为密切的降水率、湿度、温度和气压等要素,并以四维形式输入卷积神经网络模型。
卷积神经网络在研究中被分为卷积层和展平层。卷积层能够将提取输入变量中的空间和时间特征,而展平层则随后将特征与孟买自动气象站的实测降雨数据对齐,构建「输入–输出」对应关系。经卷积神经网络捕捉提取的局部特征在输出后,即可直接预测各站点的逐日降雨量,实现了从粗分辨率 GFS 数据到精细化站点级降雨的非线性下调。
值得一提的是,研究人员还引入了早停等手段以避免过度拟合。

卷积神经网络模型架构
迁移学习(Transfer Learning)微调优化
在该研究中,团队引入了迁移学习(Transfer Learning)方法,使模型兼备对一般降雨情况和极端降雨事件特征的识别能力:其中,基础卷积层保持不变,而靠近输出层的部分则允许参数更新,以避免计算成本过高和样本不足的问题,同时防止模型在极端样本上出现过度拟合。
研究团队首先基于 2015 至 2023 年孟买观测站点的完整降雨数据训练卷积神经网络基础模型,从而保证模型对普遍中低强度降雨的稳定预测。此外,研究人员在微调阶段利用超过 95% 或 99% 分位数的高强度降水样本,使模型对极端事件进行「重点学习」,增强其对极端样本的敏感性。
模型性能时空有效性验证
研究团队采用多种统计指标与实际案例验证了模型的系统性能。结果显示,预测模型的多方面表现显著优于传统的全球预报系统(GFS)以及未优化的卷积神经网络模型。该评估采用了常见的定量指标,包括相关系数(CC)、均方根误差(RMSE)、虚假警报率(FA)等。
整体降雨预测表现
在整体降雨预测方面,迁移学习模型较 GFS 表现更优。
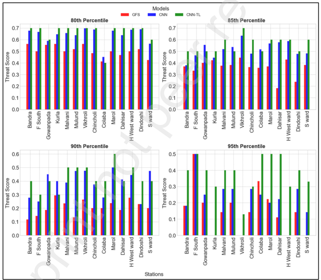
卷积神经网络下调显著提升了空间精度,相关系数普遍提高,均方根误差明显下降,有效弥合了模式与实测的差距。引入迁移学习后,模型在中高强度降雨预测中更稳健,减少了低估情况。整体上,迁移学习在提前 1 至 3 天预报时均优于其他模型,尤其在提前两天的情况下表现突出。

观测降雨量与迁移学习模型预测的时序图
在极端降雨预测上,迁移学习则强化了模型对极端样本的识别能力。在 95% 和 99% 分位数的检验中,迁移学习模型的时间预测准确度比 GFS 提升 60%–400%,第 1、2 天预报能更早捕捉多数暴雨过程,并有效降低虚假警报率。
不同站点间气泡分布点的空间差异
GFS、卷积神经网络与迁移学习模型在命中率、虚假警报率方面的对比数据
模型区域表现与实际应用
该研究基于事件同步和空间聚类的方法验证了模型在孟买不同区域下的降雨预测同步性能力。结果显示,迁移学习模型不仅在单点预测上表现优于优化前的模型,而且能够再现站点之间的空间集群特征。
所有观测站点下 GFS(红色)、卷积神经网络(蓝色)与迁移学习模型(绿色)的评分比较
打造本土主权大模型,印度加速进军人工智能领域
事实上,除学术界对季风预测模型等 AI 成果应用的关注外,印度政府层面也正在牵头 AI 发展。电子与信息技术部部长 Ashwini Vaishnaw 日前宣布,国家级「IndiaAI Mission」全面启动,目标是在未来 6 至 10 个月内完成多个本土基础模型的研发,这些大语言模型不仅将以印度的多语言、多文化为核心设计,还将针对本土社会需求进行优化。为此,印度已在全球市场采购了约 18,600 块 GPU,建立起 IndiaAI Compute Facility,以保障基础算力的持续供给。
与此同时,为形成自主可控的核心技术,印度政府还挑选了本土 AI 公司 Sarvam 作为关键合作方,承担起构建印度首个「主权大模型」的任务。这一模型将具备处理印度多语言的能力,并强调推理和大规模应用场景的适应性,未来将能够服务于医疗、政务等多个领域。
此外,印度政府还同步推出了 AI Kosha 数据平台,旨在集中管理、开放和共享可用于训练 AI 的公共与非敏感数据。India AI Compute Facility 也将向初创公司和研究团队提供补贴价格的 GPU 使用权限,希望能够快速构建与欧美、东亚国家相媲美的研发环境。
随着 IndiaAI Mission 的深入推进,不难窥见,印度将在全球 AI 竞争格局中逐渐从追随者转变为积极的参与者。
参考链接:
1.https://timesofindia.indiatimes.com/technology/artificial-intelligence/government-selects-indian-ai-company-sarvam-to-develop-nations-first-sovereign-large-language-model/articleshow/120645896.cms
2.https://indiaai.gov.in/article/union-minister-of-electronics-it-railways-and-i-b-announces-the-availability-of-18-000-affordable-ai-compute-units
3.https://www.electronicsforyou.biz/industry-buzz/indiaai-mission-expands-to-18693-gpus-for-rd/
来源: HyperAI超神经
科普中国公众号
科普中国微博

帮助
HyperAI超神经 