酰卤是羧酸中的羟基被卤素原子取代后形成的化合物,可以分为酰氟、酰氯、酰溴、酰碘(不稳定)。其中酰氯是最常用的酰卤,也是最常用的酰化剂。
基本介绍酰卤是非常活泼的化合物,不存在于自然界,只能通过化学合成制得。其中以酰氯最为重要。低级的酰氯为具有刺鼻气味的无色液体,高级酰氯为无色固体。甲酰氯在常态下不存在,制备时总是得到一氧化碳和氯化氢,因此在某些反应中,常利用一氧化碳和氯化氢混合气体在氯化亚铜催化下代替甲酰氯。
甲酰氟在低温下可以存在,在室温下数小时后即自行分解。酰氯与酸酐近似,易发生水解,醇解和氨解反应,分别生成酸、酯和酰胺。在反应过程中,水、醇(或酚)、胺分子中的氢被酰基取代,所以这些反应又称酰化反应。酰氯与格氏试剂发生加成反应,先生成酮,酮再与格氏试剂反应,生成三级醇。

酰卤可被氢化铝锂还原成醇,若用氢化三(三级丁氧基)铝锂作还原剂,或在喹啉-硫存在下进行催化氢化,反应可停止在生成醛的阶段。1
化学性质酰卤与水、醇、氨反应分别生成羧酸、酯、酰胺,并放出卤化氢。这些反应分别称为水解、醇解和氨解。1
水解
羧酸衍生物中酰卤水解的速度最快。1
醇解
此反应可以用来制备酯。因为酰卤活泼,所以一般用其他方法难以制备的酯,就可以通过它来制备。1
酰卤遇冷的氨水就可以发有机碱条件下进行。列生氨解反应,但与胺进行反应需在氢氧化钠或如:
从上述反应可以看出,酰基引入水、醇、氨的分子中,取代了它们的氢原子,分别生成羧酸、酯、酰胺。因此,上述反应称为酯化反应,而酰卤则叫酰基化试剂,简称酰化剂。酰氯是很强的酰化剂,乙酰氯在常温下就容易水解、醇解和氨解。如乙酰氯在潮湿的空气中冒白烟,这就是为什么乙酰氯水解产生的氯化氢气体遇水蒸气形
成氯化氢雾。1
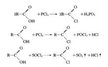
制备酰氯可由羧酸与无机酸的酰氯如三氯化磷、五氯化磷、亚硫酰氯SOCl2作用制得。草酰氯(COCl)2是合成其他酰氯的有效试剂。亚硫酰氯和草酰氯适于制备沸点较高的酰氯。若用羧酸钠作原料,适合用三氯氧磷。酰氯中以乙酰氯和苯甲酰氯最重要,酰氯是有机合成的重要酰化试剂,也可用于有机化合物中羟基或氨基的测定。1

分子中含有官能团(—COOH)的化合物称为羧酸。 通式: RCOOH和ArCOOH。
习惯命名法(俗名),根据其来源命名:甲酸最初是由蚂蚁蒸馏得到的,称为蚁酸。乙酸最初是从食用的醋中得到,称为醋酸。还有草酸、琥珀酸、苹果酸、柠檬酸。系统命名与俗名的联系,如苯甲酸俗名为安息香酸、丁二酸的俗名为琥珀酸等。
系统命名:用希腊字母表示取代基位次的方法。含十个碳以上的直链酸命名时要加一个碳字。
羧酸的物理性质
物态
C1~3 有刺激性酸味的液体,溶于水。C4~9 有酸腐臭味的油状液体(丁酸为脚臭味),难溶于水。 C9 蜡状固体,无气味。
熔点
有一定规律,随着分子中碳原子数目的增加呈锯齿状的变化。含偶数碳原子的直链饱和一元酸的熔点比邻近两个奇数碳原子酸熔点高。主要原因是含偶数碳原子的酸对称性强。晶格排列紧密,它们之间具有较大的吸引力,故熔点高。乙酸熔点16.6℃,当室温低于此温度时,立即凝成冰状结晶,故纯乙酸又称为冰醋酸。
沸点
比相对分子质量相同的醇沸点高。因为羧酸分子之间形成两个氢键,缔合成稳定的二聚体。
水溶性
由于羧酸能与水形成氢键,甲酸至丁酸与水互溶。
羧酸的化学性质
羧酸是由羟基和羰基组成的,羧基是羧酸的官能团,因此要讨论羧酸的性质,必须先剖析羧基的结构。羧基的结构为p-π共轭体系。
由于共轭作用,使得羧基不是羰基和羟基的简单加合,所以羧基中既不存在典型的羰基,也不存在着典型的羟基,而是两者互相影响的统一体。p–π共轭使羰基碳正性减弱。
羧基上的羟基(-OH)被取代的反应——羧酸衍生物的生成,由于p-π共轭的作用,羰基上电子云密度升高,因此羰基与亲核试剂的反应活性降低。不能再与HCN及含氮的亲核试剂进行加成反应,故羧酸与醛酮的性质不同。2
羧酸衍生物羧酸衍生物的结构
羧酸衍生物在结构上的共同特点是都含有酰基,酰基与其所连的基团都能形成P-π共轭体系。
羧酸衍生物的命名
酰卤和酰胺根据酰基称为“某酰某”。酰卤的命名将相应的酰基名称放在前面,卤素的名称放在后面。即将相应的“酸”改成“酰卤”。酰胺的命名:和酰卤相似。将相应的酰基后边加一“胺”字,既将相应的“酸”改为“酰胺” 。
酸酐的命名是在相应羧酸的名称之后加一“酐”字。
① 由二分子相同的一元羧酸脱水形成的酸酐称为单酐,它们的命名,可在原来的羧酸名称之后加一“酐”字来称呼, “酸”字也可以省略。② 由二分子不相同的一元羧酸脱水形成的酸酐称为混酐。它们的命名,可把简单的或低级的羧酸名称放在前面,复杂的或高级的羧酸名称放在后面(即按甲、乙、丙顺序,英文按字母顺序),再加一“酐”字来称呼。③ 环状酸酐:一分子的二元酸或多元以上的多元酸,它们脱水后可生成环状酸酐。命名时,可在二元酸的名称后加一“酐”字。
酯的命名是根据形成它的酸和醇称为某酸某酯。把酸的名称放在前面,烃基的名称放在后面,在加一“酯”字。
羧酸衍生物的物理性质
(一)酰卤
最简单而又稳定存在的酰氯是乙酰氯,是无色有刺激性气味的液体,高级酰氯是固体。低级酰卤遇水激烈水解。乙酰氯遇空气中的水气即能水解。
(二)酸酐
酸酐中最简单的是乙酐。低级酸酐是有刺激味的液体,高级酸酐是固体。酸酐遇水也分解,但比酰卤缓慢。
(三)酯
酯常为液体,低级酯具有芳香气味,存在于花果中。例如,香蕉中含乙酸异戊酯,苹果中含戊酸乙酯,菠萝中含丁酸丁酯等等。酯的密度比水小,在水中的溶解度很小,溶于有机溶剂,也是优良的有机溶剂。
(四)酰胺
酰胺有分子间氢键缔合作用,故除甲酰胺外,其他酰胺均为固体氮上氢被取代后,沸点和熔点显著降低。
水溶性:低级酰胺溶于水。 N,N-二甲基甲酰胺和N,N-二甲基乙酰胺可与水混溶,是很好的非质子极性溶剂。2
本词条内容贡献者为:
唐浩宇 - 教授 - 湘潭大学
科普中国公众号
科普中国微博

帮助
