分子中含有氨基(一NH3)和羧基(一COOH)的络合剂。试剂分子中含有多个配位原子(O与N),能与大多数金属离子形成稳定的螫合物(chelate),常用于络合滴定,最常用的氨羧络合剂是乙二胺四乙酸(EDTA)。
基本性质氨羧络合剂为一两个或多个的羧酸基接于氨基氮上而符合于下列化学通式的络合剂。

其中R代表各种不同的基团,n代表不同的数目。具有广泛而强大的络合能力,与多种金属离子形成的络合物很稳定,能溶于水。最常用的氨羧络合剂有氮三乙酸(氨羧络合剂Ⅰ,简称ATA)、乙二胺四乙酸(氨羧络合剂Ⅱ,简称EDTA)、乙二胺四乙酸二钠盐(氨羧络合剂Ⅲ)、环己烷四乙酸(氨羧络合剂Ⅳ,简称CyDTA)、乙二醇二乙醚二胺四乙酸(简称EGTA)等。氨羧络合剂用于络合滴定、掩蔽干扰离子及无氰电镀等方面。1
制备方法EDTA是目前使用最广的氨羧络合剂,其制备方法如下:以乙二胺和氯乙酸为原料,在室温下用碱中和氯乙酸至pH=8,生成氯乙酸钠。然后加入乙二胺,用30%NaOH维持pH=9,使之生成乙二胺四乙酸钠盐。

乙二胺四乙酸钠盐溶于水,脱色过滤除去杂质后,用盐酸酸化,使EDTA沉淀析出。

氨羧络合剂对金属有极强的络合能力,因为氨基上的氮原子和羧基上的氧原子都是亲核性很强的配位原子,而氨羧络合剂正是综合了这两者的性能,许多和氧能形成稳定配价键的离子及能与氮形成稳定配价键的离子都能和氨羧络合剂形成螯合物。
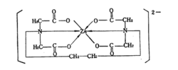
EDTA能与正二价到正四价金属阳离子形成螯合物。在大多数情况下配位数为六,形成的螯合物分子中具有五个环。例如EDTA与Zn所形成的螯合物具有如下结构:

如果确知配位数小于六时,可在结构式上相当地减少羧基上的配位键:

对比金属与氨基乙酸形成的螯合物, 因EDTA与金属所形成的螯合物含有的环数较多,因此它具有更大的稳定性。另外EDTA分子中有四个羧基,电离后可带四个负电荷, 所以它和一、二、三价的金属螯合时,螯合物分子总是带负电荷(即络阴离子),所以这些螯合物都能溶于水。利用这个特点,在分析化学中常用它作掩蔽剂。 此外,不同的金属离子和EDTA所形成的络合物的稳定性各不相同,可以用于分离提取稀土元素。
金属离子与氨羧络合剂形成的螫合物的颜色,一般说来,如金属离子无色,则螯合物亦无色,若金属离子有色,则形成螫合物后颜色加深。2
本词条内容贡献者为:
杨剑虹 - 教授 - 西南大学
科普中国公众号
科普中国微博

帮助
