简介

在数学(尤其是几何)中,半圆是形成一半圆的点的一维轨迹。 半圆的圆弧总是测量180°(相当于π弧度或半圈)。 它只有一条对称线(反射对称)。圆的任意一条直径的两个端点把圆分成两条弧,每一条弧都叫做半圆。半圆要和半圆形分开,因为半个圆只是一个弧。它是圆的一半,半圆形的圆心的位置是它同心圆的圆心的位置,只有一条直径,但有无数条半径,有一条对称轴。

在非技术用途中,术语“半圆”有时用于表示半圆盘,其是二维几何形状,其还包括从弧的一端到另一端的直径段,以及所有内点。

通过泰勒斯定理,在半圆的每个端点处的半圆形内切的任何三角形和半圆的其他位置的第三个顶点是直角三角形,在第三个顶点具有直角。

与半圆相交的所有直线垂直于包含给定半圆的圆的中心。2

用途

半圆可用于使用直边和罗盘构造两个长度的算术和几何平均值。 如果我们制作直径为a+ b的半圆,那么半径的长度是a和b的算术平均值(由于半径是直径的一半)。 可以通过将直径分成长度为a和b的两个段,然后将它们的共同端点连接到具有垂直于直径的段的半圆上来找到几何平均值。 所得到的段的长度是几何平均值,可以使用毕达哥拉斯定理来证明。 这可以用于实现矩形的正交(因为其边等于矩形的边的几何平均值的正方形具有与矩形相同的面积),并且因此可以构造一个矩形的矩形 相等的区域,如任何多边形(但不是一个圆)。3

方程式

在端点之间的直径上的中点 的半圆的方程从下面完全是凹的,如下式所示:

如果从上方完全是凹的,方程式是:

弓形

一个弓形是一个由三个半圆连接的平面内的一个区域,所有三个半圆

圆基本定义

在一个平面内,一动点以一定点位中心,以一定长度为距离旋转一周所形成的封闭曲线叫做圆。

在同一平面内在,到定点的距离等于定长的点的集合叫做圆。

圆是一种几何图形。根据定义,通常用圆规来画圆。 同圆内圆的半径长度永远相同,圆有无数条半径和无数条直径。圆是轴对称、中心对称图形。对称轴是直径所在的直线。 同时,圆又是“正无限多边形”,而“无限”只是一个概念。当多边形的边数越多时,其形状、周长、面积就都越接近于圆。所以,世界上没有真正的圆,圆实际上只是概念性的图形。

相关定义

(1)径

1.连接圆心和圆上的任意一点的线段叫做半径,字母表示为r(radius)

2.通过圆心并且两端都在圆上的线段叫做直径,字母表示为d(diameter)。直径所在的直线是圆的对称轴。

圆的直径 d=2r

(2)弦

1.连接圆上任意两点的线段叫做弦(chord).在同一个圆内最长的弦是直径。直径所在的直线是圆的对称轴,因此,圆的对称轴有无数条。

(3)弧

1.圆上任意两点间的部分叫做圆弧,简称弧(arc)以“⌒”表示。
  2.大于半圆的弧称为优弧,小于半圆的弧称为劣弧,所以半圆既不是优弧,也不是劣弧。优弧一般用三个字母表示,劣弧一般用两个字母表示。优弧是所对圆心角大于180度的弧,劣弧是所对圆心角小于180度的弧。

3.在同圆或等圆中,能够互相重合的两条弧叫做等弧。

(4)角

1.顶点在圆心上的角叫做圆心角(central angle)。

2. 顶点在圆周上,且它的两边分别与圆有另一个交点的角叫做圆周角。圆周角等于相同弧所对的圆心角的一半。

(5)圆周率

圆周长度与圆的直径长度的比值叫做圆周率。它是一个无限不循环小数,通常用字母π表示,π=3.1415926535897932384626……计算时通常取3.14。我们可以说圆的周长是直径的π倍,或大约3.14倍,不能直接说圆的周长是直径的3.14倍!

(6)形

1.由弦和它所对的一段弧围成的图形叫做弓形。

2. 由圆心角的两条半径和圆心角所对应的一段弧围成的图形叫做扇形(sector)。

计算公式

(1)圆的周长公式

圆的周长:

圆周长的一半 c=πr

半圆的周长 c=πr+2r

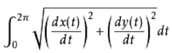
圆的周长公式推导(此方面涉及到弧微分)

设圆的参数方程为

圆在一周内周长的积分

代入,可得


  (2)圆的面积公式

圆的面积计算公式:

把圆分成若干等份,可以拼成一个近似的长方形。长方形的宽相当于圆的半径。

圆锥侧面积,(l为母线长)

(3)弧长角度公式

扇形弧长L=圆心角(弧度制) * R= nπR/180(n为圆心角)(R为扇形半径)

扇形面积S=nπ R²/360=LR/2(L为扇形的弧长)

圆锥底面半径 r=nR/360(r为底面半径)(n为圆心角)

(4)扇形面积公式

R是扇形半径,n是弧所对圆心角度数,π是圆周率,L是扇形对应的弧长。

也可以用扇形所在圆的面积除以360再乘以扇形圆心角的角度n,如下:

(L为弧长,R为扇形半径)

推导过程:S=πr²×L/2πr=LR/2

(L=│α│·R)

性质

⑴圆是轴对称图形,其对称轴是任意一条通过圆心的直线。圆也是中心对称图形,其对称中心是圆心。垂径定理:垂直于弦的直径平分这条弦,并且平分弦所对的2条弧。逆定理:平分弦(不是直径)的直径垂直于弦,并且平分弦所对的2条弧。

⑵有关圆周角和圆心角的性质和定理

① 在同圆或等圆中,如果两个圆心角,两个圆周角,两组弧,两条弦,两条弦心距中有一组量相等,那么他们所对应的其余各组量都分别相等。

②在同圆或等圆中,相等的弧所对的圆周角等于它所对的圆心角的一半(圆周角与圆心角在弦的同侧)。

直径所对的圆周角是直角。90度的圆周角所对的弦是直径。

圆心角计算公式: θ=(L/2πr)×360°=180°L/πr=L/r(弧度)。

即圆心角的度数等于它所对的弧的度数;圆周角的度数等于它所对的弧的度数的一半。

③ 如果一条弧的长是另一条弧的2倍,那么其所对的圆周角和圆心角是另一条弧的2倍。

⑶有关外接圆和内切圆的性质和定理

①一个三角形有唯一确定的外接圆和内切圆。外接圆圆心是三角形各边垂直平分线的交点,到三角形三个顶点距离相等;

②内切圆的圆心是三角形各内角平分线的交点,到三角形三边距离相等。

③R=2S△÷L(R:内切圆半径,S:三角形面积,L:三角形周长)。

④两相切圆的连心线过切点。(连心线:两个圆心相连的直线)

⑤圆O中的弦PQ的中点M,过点M任作两弦AB,CD,弦AC与BD分别交PQ于X,Y,则M为XY之中点。

(4)如果两圆相交,那么连接两圆圆心的线段(直线也可)垂直平分公共弦。

(5)弦切角的度数等于它所夹的弧的度数的一半。

(6)圆内角的度数等于这个角所对的弧的度数之和的一半。

(7)圆外角的度数等于这个角所截两段弧的度数之差的一半。

(8)周长相等,圆面积比正方形、长方形、三角形的面积大。