黑体辐射,近代物理史上一只会下金蛋的鹅——引出了一系列重要的物概念,量子力学、固体量子论、受激辐射、量子统计、等等。然而,对于物理学史上这一重要内容本身,在中文文献中却只寥寥几笔,只留下了普朗克、维恩公式和谱线图等内容,其缘由、实验验证、延续数十年数位物理巨擘的推导均被忽略了。本文则全面地考察了黑体辐射这一概念的来龙去脉和延伸。在作者看来,“黑体辐射是近代物理研究方法的教科书回顾这段波澜壮阔的历史,能让我们多少学会一些物理研究的真谛。”《返朴》专栏作家曹则贤研究员将为读者开启这场酣畅淋漓的物理学史之旅,帮助我们了解其中思想概念的演化。全文约7.5万字,将分为五次推送。
撰文 | 曹则贤(中国科学院物理研究所)
黑,真他妈的黑啊!
——刘慈欣《三体》
摘要 黑体辐射是近代物理史上一只会下金蛋的鹅, 是近代物理的摇篮。黑体辐射研究的意义还在于这是唯一一个涉及c, k, h三个普适常数的物理情景。黑体辐射谱抗测量误差的特性带来了辐射标准和绝对温度参照,谱分布公式对模型的不敏感则使得黑体辐射成为独特的物理研究母题。黑体辐射谱分布公式,普朗克多角度推导过,德拜推导过,艾伦菲斯特推导过,劳厄推导过,洛伦兹和庞加莱深入讨论过,泡利推导过,玻色推导过,爱因斯坦在20多年的时间里多角度推导过且产出最为丰硕,近代还有从相对论角度的推导,每一个角度的推导都带来了物理学的新内容,这包括量子力学、固体量子论、受激辐射、量子统计、相对论统计,等等。认真回顾黑体辐射研究的历史细节,考察其中的思想概念演化。不啻于体验一次教科书式的学(做)物理之旅,比如也可以尝试给出能量局域分立化的简单新证明。
引子 黑体辐射研究起源于十九世纪中叶的热辐射体和辐射标准研究,属于对工业应用需求的响应。从对实验结果之诠释——主要是普朗克谱分布公式——的论证引出了一系列新概念和新物理,包括量子力学、固体量子论、受激辐射、量子统计和玻色-爱因斯坦凝聚等,都是黑体辐射研究的直接结果。此外,这项研究还充实了热力学,带来了对光的本性的深入理解。鉴于黑体辐射的超强学术繁殖能力——这一点来自黑体辐射分布谱公式对模型的不敏感,可以说black-body radiation is the matrix of modern physics(黑体辐射是近代物理之本),或者说black-body radiation is a goose that lays golden eggs(黑体辐射是一只会下金蛋的鹅)。关于黑体辐射的实验研究,除了维恩之外,还有柏林的物理技术研究机构的近代物理实验五杰。关于黑体辐射的理论研究,先后出场的物理巨擘,据不完全统计,有基尔霍夫、亥尔姆霍兹、斯台藩、玻尔兹曼、维恩、瑞利爵士、普朗克、洛伦兹、爱因斯坦、金斯爵士、艾伦菲斯特、庞加莱、纳坦松、德拜、劳厄、泡利、玻色等人,且各有建树。他们的研究方式之多样让人眼花缭乱, 他们的研究手法之娴熟让人五体投地,他们的学术功底之深厚让人叹为观止。黑体辐射研究是近代物理研究方法的教科书,回顾这段波澜壮阔的历史,能让我们多少学会一些物理研究的真谛。
本文大致分为如下章节:
1. 黑体与辐射的基尔霍夫定律
2. 黑体辐射理论研究初步
3. 黑体辐射谱测量
4. 对维恩分布公式的质疑与瑞利-金斯公式
5. 普朗克关于黑体辐射谱分布公式的三种推导
6. 爱因斯坦的第一轮推导
7. 洛伦兹的推导
8. 金斯的坚持与转变
9. 德拜的推导
10 艾伦菲斯特的推导
11. 庞加莱的充要条件证明
12 劳厄的小插曲
13. 泡利的推导
14. 玻色的推导
15. 爱因斯坦再次出场
16. 玻色-爱因斯坦统计与费米-狄拉克统计
17. 黑体辐射与相对论
18. 浑身都是物理的普朗克谱分布公式
19. 光是局域量子化存在的新简单论证
20. 多余的话
初识黑体辐射问题于大学普通物理课上。在我拿到的那些光学、原子物理以及量子力学课本中,黑体辐射问题会在半页到两页不等的幅度上被轻描淡写地、略显随意地提过。普朗克被描述为一个拟合人家实验曲线的革命者(有点矛盾哈),他最先引入了量子的概念从而开启了量子力学时代。然而,事实远不是这么回事儿。当我2008年读到一篇名为Max Plack-Revolutionär wider Willen (普朗克——违背意愿的革命家)的文章时,我才知道1900-1901年期间普朗克到底推导了什么, 以及接下来二十多年里,即到1924年Quantenmechanik(量子力学)一词出现,他自己的心理历程。我慢慢地才知道,黑体辐射问题是近代物理的摇篮,一批物理巨擘们通过对这个问题的研究为我们带来了近代物理之大部,包括量子力学、量子统计、固体量子论等近代物理分支,对光之本性的深刻认识,以及受激辐射这个激光的基础概念,此外还有化学势、零点能等关键概念。回顾黑体辐射的研究历程会是一个不可多得的近代物理研究方法论课程,我深信“It is always very useful to get acquaintance with the development of original ideas and methods—even if some had led to dead ends or detours(熟悉原始思想与方法的发展历程,尽管它们有些走了弯路或者进入了死胡同,总是非常有用的)”。本文中,我将循着物理大师们的原初路径,试着就黑体辐射问题找到一些深刻的洞见。我希望,本文会是一篇物理学思想史研究的范文,虽然我知道这是奢望。特别地,我希望通过撰写此文的实践支持我一贯的观点:物理学史是物理这门学问的历史。物理学史研究天然地关注物理自身并致力于襄助物理学的发展与传承。
我设想读者都和我一样思维不是那么敏捷,因此本文中我会尽可能多地关注一些细节和逻辑联系。此外,遇到值得击节赞叹处我还会偶尔在括号里加上一句半句的感慨,请读者原谅我这没见过世面的样子。因为笔者水平有限,对本文提到的诸多关键文献其实并没有认真阅读以领会其精妙处,故文中难免存在诸多学术性瑕疵和技术性缺陷。我自己可能需要一段时间才能注意到其中的问题,未来我会在重新阅读思考以后再回头增补、修订。懂物理的朋友们自然能轻松识别出这些瑕疵与缺陷,引用时自行改正过来就好;随便抄袭本文者可能会闹笑话,一朝露馅要勇于自认倒霉,勿谓言之不预。
本文中我会故意穿插使用涉及到的物理巨擘姓名和关键概念的西文拼法与相应的汉译,其基本原则是方便读者迅速过渡到西文文献。同黑体辐射具体研究(者)相关的文献或者针对性特别强的文献会直接加在文内,方便我的叙述也方便读者的查询(其实是为了避免改造为某种特殊的格式却被弄得面目全非),文后附有更多的一般性参考文献。然而,由于某些原始文献不易找到,因此还是有很多遗漏处。所有的英语文献会原封不动地呈现;对于非英文文献,包括德语、法语和意大利语的,我会将文章名或者书名译成汉语。一些关键词我也会把当事人使用的某种语言的原文随手加上。愚以为,翻译是对理解错误的固化。故而,为对抗这种固化,将译文、原文即刻就近一并呈现是必须的。此外,本文没有统一物理量的符号,而是尽可能地忠实于原文,请读者注意。
01
黑体与辐射的基尔霍夫定律
光是人类同远方唯一的连接,光是第一物理对象和工具。光与物质间的相互作用天然地是物理学的主题。当一束光照射到一块物体(假设是固体,不发光-这个说法在学过黑体辐射以后会发觉不对)上时,光会被反射、吸收(可能还引起再发射),一部分会透过去。对于普通的物体,如果其对可见光(波长约在390-780 nm之间)的透过率和反射率足够小,它就会给人以黑色的印象。不透可见光意味着材料对可见光有强烈的吸收,则材料的能隙要小于1.5 eV,或者其等离激元频率要高于4×1014Hz。常见的无定形炭对可见光有强烈的吸收,是黑的,故有炭黑一说(可见光吸收率可达0.96)。炭的一种sp2-键结合的晶体,石墨,其带隙约为负的0.04 eV,为半金属,对红外光全面地强烈吸收,因此它更黑。但是,石墨晶体对可见光有强烈的反射,故高品质的石墨晶体有金属光泽(图1)。近年来超黑材料(superblack materials)的研究方兴未艾,其关键是把窄带隙材料的表面加以无序化、粗糙化以消除反射。当前所获得的超黑材料,比如黑硅,对可见光的反射率已几乎为零,其黑色艳得邪恶(图1)。
图1. 不同程度的黑。左图:几乎不透光但反光的石墨晶体;右图:恐怖的超黑材料
经验告诉我们,物体吸收了光,就会变热。中国北方的人们冬天喜欢晒太阳,而且知道穿黑棉袄、黑棉裤取暖效果比较好。据信法国物理学家菲涅尔(Augustin-Jean Fresnel,1788-1827)针对牛顿在Opticks(光学)一书中表达的“作为颗粒的光穿越充满热介质的空间畅通无阻”的观点(好像书里面没有这个观点。牛顿冤枉)曾反驳道,光照下的物体其热会无限增加[Charles Coulston Gillispie, The Edge of Objectivity: An Essay in the History of Scientific Ideas,Princeton University Press (1960)]。然而,一个物体如何能容纳其吸收的无穷多的热呢?吸收光的物体,其温度不会总升高吧?如果是这样,只要照射时间足够长,弱光也能把一块物体给汽化了。1858年,苏格兰物理学家斯图尔特(Balfour Stewart,1828-1887)发现,涂上灯黑(lamp-black,用今天的话说,是微纳米炭颗粒沉积物)的表面能吸收所有照射其上的光,因而同其他表面相比具有最大的光吸收能力,但它同时也拥有最强的光发射能力。可惜,斯图尔特逻辑能力不强,未能抽象出一个普适性原理:存在(哪怕是仅存在于想象中)一个普适的具有最大光吸收——当然也是最大光发射——能力的表面,此事儿与光波长和温度无关。但是,斯图尔特用射线的反射与折射(遵循Stokes-Helmboltz的reciprocity principle,互反原理[1])来讨论他的实验结果。他得到了一个重要结论,就是在一个处于热平衡的、不管是什么材料做成的空腔里,从内壁任何部分辐射的热与灯黑的辐射相同[Belfour Stewart, An account of some experiments on radiant heat, Transactions of the Royal Society of Edinburgh 22, 1-20 (1858); D. M. Siegel, Balfour Stewart and Gustav Robert Kirchhoff: two independent approaches to Kirchhoff's radiation law, Isis 67(4), 565-600 (1976)]。
一般文献讨论黑体辐射会从基尔霍夫定律开始。基尔霍夫(Gustav Kirchhoff,1824-1887),德国物理学家,1847年毕业于柯尼希堡(Königsberg,现属俄罗斯)大学,1850-1854年在布雷斯劳(Breslau,现属波兰)大学任教,然后转往海德堡大学,1875年转往柏林大学任理论物理教授。基尔霍夫研究电以及光谱,做出了奠基性的贡献,其中最值得称道的是他和本森(Robert Bunsen,1811-1899)一起发明了光谱仪。1859年,基尔霍夫计算了无阻导线中电信号的速度,得出了电信号速度为光速的结论[Gustav Kirchhoff, On the motion of electricity in wires, Philosophical Magazine 13, 393-412 (1857);P. Graneau, A.K.T. Assis, Kirchhoff on the motion of electricity in conductors, Apeiron 1(19), 19-25 (1994)]。可惜,一般电学教材基本不谈论电力传播速度问题。
图2. 基尔霍夫
1859年,基尔霍夫在光谱研究中发现了(气体分子的)吸收谱线和发射谱线重合的现象。进一步地,基尔霍夫研究热平衡时固体腔内的热吸收与发射,发现对于给定的波长,发射能力与吸收率之比不依赖于具体的物体。热平衡下的辐射是各向同性的。辐射密度在各个方向都相同的发射体是Lambert发射体(命名来自Johann Heinrich Lambert,1728-1777)。1860年,基尔霍夫提出了完美黑(vollkommen schwarze)的概念。对于那些能吸收所有照临其上的光的物体,“我将那样的物体称之为完全黑的,或者就简称为黑的(Ich will solche Körper vollkommen schwarze, oder kürzer schwarze, nennen)”。既不反射也不让辐射透过,那意味着对照临其上的光的完全吸收。黑体(black-body)一词,德语为schwarzer Körper或者Schwarzerkörper,由基尔霍夫在其1860年题为“论物体之热与光的发射能力和吸收能力之间的关系”的文章(p.277)中首先提出[Gustav Kirchhoff, Über das Verhältniss zwischen dem Emissionsvermögen und dem Absorptionsvermögen der Körper für Wärme and Licht, Annalen der Physik und Chemie 109(2), 275-301 (1860)]。一说是在1862年基尔霍夫造了黑体辐射这个词。
黑体辐射,德语Schwarzkörperstrahlung,爱因斯坦喜欢用schwarze Strahlung (黑的辐射),见爱因斯坦1910的文章。爱因斯坦还曾用过腔体(Hohlkörper)而不是腔空间(Hohlraum)的说法,见爱因斯坦1907的文章。许多英文文献干脆就叫热辐射(thermal radiation, heat radiation)。基尔霍夫关于热辐射的定律可以表述为:“任何物体(做成的空腔),其热平衡时的发射能力与吸收率之比是一个普适的、只依赖于温度的函数,该函数是完美黑体的特征。” 用大白话说,就是好的吸收体也是好的发射体(Ein guter Absorber ist auch ein guter Emitter)。黑体的辐射谱密度与方向无关,与空腔辐射的谱密度相同(Die spektrale Strahldichte des Schwarzen Körpers muss daher von der Richtung unabhängig und mit der spektralen Strahldichte der Hohlraumstrahlung identisch sein)。基尔霍夫的发现,用公式可表示为在平衡条件
中有只对特别频率的光透明的薄片(请记住这一点)。基尔霍夫的证明上来就用热力学第二定律,而那时热力学第二定律是崭新的。基尔霍夫因此相信,黑体辐射的这个谱密度分布是一个简单函数。基尔霍夫认为找出这个函数算得上非常有意义的成就(crowning achievement)。当然了,他也非常明白实验上会有很多困难要克服。基尔霍夫是在海德堡大学研究光谱时得到了黑体辐射定律的,他后来把黑体辐射研究带到了柏林,黑体辐射研究最终在柏林结出了硕果。实际情况是,在基尔霍夫定理提出后,经过40年的艰难探索,谱密度函数在1900年真地就被找到了。
基尔霍夫留下了如下与热辐射研究有关的著作:
1. Gesammelte Abhandlungen(全集),Johann Ambrosius Barth(1882),玻尔兹曼编辑;
2. Gesammelte Abhandlungen: Nachtrag(全集增补),Johann Ambrosius Barth, (1891),玻尔兹曼编辑;
3. Vorlesungen über mathematische Physik, 4 Bände(数学物理讲义,四卷本), B. G. Teubner(1876-1894)
Band 1: Mechanik(卷一、力学),B. G. Teubner(1876);
Band 2: Mathematische Optik(卷二、数学光学), B. G. Teubner(1891);
Band 3: Electricität und Magnetismus(卷三、电与磁),B. G. Teubner(1891),普朗克编辑;
Band 4: Theorie der Wärme(卷四、热论),B. G. Teubner(1894),普朗克编辑;
注意,基尔霍夫的全集是玻尔兹曼(Ludwig Boltzmann,1844-1906)编辑的,数学物理讲义第三、四卷是普朗克(Max Planck,1858-1947)编辑的。玻尔兹曼和普朗克是接下来的黑体辐射研究的主角,进一步地是后来的统计力学的奠基人。什么是学术传承?这就是学术传承。学术传承的前提是有学术可供传承。
还有几个因素要注意到。其一,基尔霍夫1860年提出辐射定律的时候,克劳修斯(Rudolf Clausius,1822-1888)刚提出熵概念不久(1852-1856年间)。其二, 那时候连麦克斯韦方程组还没呢,更不知道热辐射是电磁波。其三, 在1887-1888年,德国的赫兹证实电磁有波的存在形式。热辐射、电磁波、熵,再加上玻尔兹曼在1872年和1877年提出的量子化的能量(在玻尔兹曼那里是分子动能),未来这几个因素凑到一起就擦出大火花了。
一个发光体,特征的物理量是它的发光能力及谱分布。室温下一般物体的热发射,人眼看不到,这时候无照明状态下的物体就是黑的。随着温度的升高,(黑色的)物体会逐渐变为灰色、暗红、亮红、黄色、白色、蓝白色(图3)。白色对应高温,故有白热化、白炽的说法。对铁匠铺里的炉子的粗略观察可以得出结论:随着温度升高,发光向短波长方向移动,光也变得更加强烈。黑体的辐射、热平衡时空腔的辐射,以及热平衡时内有发射体的空腔的辐射,都应该表现出同样的谱特征。这是黑体辐射所涉及的模型研究的思想基础。
图3. 辐射体实物图与热空腔辐射模型
顺带说一句,对应黑体还有白体(white body)的说法。对所有波长的电磁辐射都表现出零吸收的假想物体被称为白体。不过关于何为黑,何为白,值得认真探讨一番。考察一块均匀的、表面光滑的固体,其对入射光的行为可以由透过率(transmission)τ、吸收率α和反射率ρ来表征,ρ+α+τ=1。所谓的黑体对应α=1, τ=0, ρ=0;白体对应ρ=1,α=0,τ=0;而透明物体对应ρ=0,α=0,τ=1。不过,类似ρ+α+τ=1这样的公式表达的是算术,而非真实的物理。反射率ρ反映的是物体表面的性质,严格地说是界面的性质;吸收行为则是由材料的体性质(bulk property)和几何共同决定的;至于透过率,那只是τ=1-ρ-α的算术结果。一块材料的表面的吸收能力(absorptance)反映其吸收辐射能量的有效
02
黑体辐射理论研究初步
完美发光体的发光能力与温度的关系,在近代的物理教科书中由Stefan-Boltzmann公式给
先补个插曲。为了从热力学的角度研究黑体辐射,有必要引入辐射压的概念。辐射压的概念一开始由开普勒(Johannes Kepler,1571-1630)于1619年提出,用以解释彗星尾总远离太阳的现象。1862年,麦克斯韦(James Clerk Maxwell, 1831-1879)从自己的电磁理论出发推测有辐射压的存在(另有文献说是1874年,待考)。意大利人巴托利(Adolfo Bartoli,1851-1896)在1876年从热力学原理导出了辐射压的存在[Adolfo Giuseppe Bartoli,Sopra i movimenti prodotti dalla luce e dal calore:e sopra il radiometro di Crookes(论光与热产生的运动以及克鲁克斯的辐射计),Coi tipi dei successori le Monnier, 1876],巴托利于1874年毕业于比萨大学,于1876年在25岁上即已是实验物理教授。巴托利指出,如果从一个移动的镜子反射光,就能提升辐射温度,这样就能把能量从低温物体传输到高温物体,但这违反热力学第二定律[A.Bartoli, Il calorico raggiante e il secondo principio di termodynamica (辐射压与热力学第二定律), Nuovo Cimento 15, 196-202 (1875)]。若光对镜子也施加了压力,就解决了这个困局。其实,之所以有这个插曲是因为那个时候还没建立起光有动量的概念。光有能量容易被感知,在墙角晒晒太阳就明白,但光有动量的认识需要认识到它存在的物理语境。爱因斯坦在质能关系和光电效应的工作中都用到了辐射压的概念。
奥匈帝国的物理学家斯特藩(Jožef Stefan或者Josef Stefan,1835-1893)是玻尔兹曼(Ludwig Boltzmann,1844-1906)的导师,其于1858年在奥地利维也纳大学获得数学物理博士学位(图4)。按维基百科Stefan-Boltzmann条目,斯特藩在1879年基于丁达尔(John Tyndall,1820-1893)1864年用白金灯丝获得的发射能量测量结果得到了公式 的结论[Josef Stefan, Über die Beziehung zwischen der Wärmestrahlung und der Temperatur(热辐射与温度之间的关系), Sitzungsberichte der Kaiserlichen Akademie der Wissenschaften: Mathematisch- Naturwissenschaftliche Classe 79: 391-428 (1879)]。但是,细读这篇文章,笔者却发现其是用Dulong-Petit关于发射体冷却速度得到物体发射的热量同其绝对温度四次方成正比(die von einem Körper ausgestrahlte Wärmemenge der vierten Potenz seiner absoluten Temperatur proportional ist)的结论的。法国物理学家杜隆(Pierre Louis Dulong,1785-1838)和珀替(Alexis Thérès Petit,1791-1820)的这个实验非常巧妙,用沸腾金属作为发热体(保持温度恒定),测量不同半径的同心金属球壳上平衡时的温度。笔者读到此处是击节叫好。提起杜隆-珀替,按说应该是如雷贯耳才对。后来爱因斯坦于1907年创立固体量子论时,又是基于杜隆-珀替的比热测量数据。热力学中有所谓的杜隆-珀替定律,是他们俩于1819年提出的,比卡诺(Sadi Carnot, 1796-1832)的第一篇热力学论文还早五年。
图4. 斯台藩
玻尔兹曼非同寻常,是统计物理和原子论的奠基人(图5)。玻尔兹曼的博士论文导师是斯台藩, 但他还有其他导师,包括本生(Robert Bunsen,1811-1899)、基尔霍夫和亥尔姆霍兹(Hermann von Helmholtz,1821-1894),未来他会有个博士生叫艾伦菲斯特(Paul Ehrenfest,1880-1933),这构成了一个黑体辐射研究的学术链条。1884年,玻尔兹曼考察用光(气)作为工作介质的热机,又得到了这个关于辐射能力的公式[Ludwig Boltzmann, Über eine von Hrn. Bartoli entdeckte Beziehung der Wärmestrahlung zum zweiten Hauptsatze(论巴托利先生发现的热辐射同第二定律之间的关系), Annalen der Physik 22,31-39 (1884);Ludwig Boltzmann, Ableitung des Stefan'schen Gesetzes, betreffend die Abhängigkeit der Wärmestrahlung von der Temperatur aus der electromagnetischen Lichttheorie(关于由电磁的光理论出发得到的热辐射对温度依赖关系的斯特藩公式的推导),Annalen der Physik 22,291-294(1884)]。
图5. 玻尔兹曼
玻尔兹曼在这里对分子动能的计数从0开始,这个0能量具有特殊的地位。分子动能为0让我觉得不好理解。下文我们会看到在艾伦菲斯特1911年的论文中,谐振子的量子化能量也是从n=0开始的,并有关于n=0之必要性的讨论。这里的妙处,下文会仔细考虑。存在n=0是有费米-狄拉克统计的前提。
图6. 维恩,1911年
维恩(Wilhelm Wien,1864-1928)这个名字因黑体辐射研究而闻名, 他几乎是唯一的黑体辐射理论与实验双料研究者,于1911年因热辐射的研究获得诺贝尔物理学奖(图6)。维恩是我心目中大神级的物理学家。维恩是亥尔姆霍兹(Hermann von Helmholtz,1821-1894)的博士生,1882年起念的是哥廷恩和柏林大学,1886年获得博士学位(那时候普鲁士的大学年四年获得博士学位好像是制度,相当于如今的硕士班毕业,待考。另外,普鲁士的大学生要读两个大学。普朗克大学读的分别是慕尼黑大学和柏林大学。这是多么伟大的制度啊。啥时候咱们也能学点儿好呢?)。维恩于1883-1885年间在亥尔姆霍兹的实验室工作,1890年到柏林帝国物理技术研究机构(Physikalisch-Technischen Reichsanstalt in Berlin, PTR)工作(黑体辐射就是在这里被实验+理论地研究清楚的),1893年发现维恩位移定律[W.Wien, Eine neue Beziehung der Strahlung schwarzer Körper zum zweiten Hauptsatz der Wärmetheorie(黑体辐射与热学第二定律之间的一个新关系), Sitzungberichte der Königlich-Preußischen Akademie der Wissenschaften (Berlin) 1,55-62 (1893)]。维恩在1894年引入了电磁辐射熵的概念[Wilhelm Wien, Temperatur und Entropie der Strahlung(辐射体的温度与熵), Annalen der Physik 288(5), 132-165 (1894)][4],在文章中还瞎猜了黑体辐射可能的谱分布(图7)。
图7. 维恩在1894 年的文章中瞎猜的黑体辐射谱分布。这个瞎猜的谱分布和实际差不多。对于维恩这样的既亲手测量又懂物理还熟悉经典概率函数的人(估计不符合战略人才的要求)来说,这个结果好理解。
维恩考察处于热平衡下内有辐射之空腔的绝热膨胀,空腔缓慢收缩时腔壁反射能量的变化和频率变化一致(?),从而得出ν/T是绝热不变量的结论,进一步地得到了所谓的维恩谱分布公式[Wilhelm Wien, Über die Möglichkeit einer elektromagmetischen Begründung der Mechanik (论力学基于电磁学的可能性), Annalen der Physik, 501-513 (1900)]。实验方面,维恩1895年制作了黑体辐射源,给出了建造黑体辐射源的原则[O. Lummer, W. Wien, Über die Energievertheilung im Emissionsspectrum eines schwarzen Körpers(论黑体辐射谱的能量分布),Annalen der Physik und Chemie. Neue Folge. Band 58, 612-669 (1896)]。更多细节见下文。在这个讨论过程中,腔体内壁不仅不是黑体,维恩甚至讨论腔壁是镜子的情形。这部分的详细讨论见于Wannier的教科书[G. H.Wannier, Statistical Physics, Dover Publications (1987)]
。此外值得一提的是,1900年维恩假设所有的质量都有电磁起源,并给出了等价关系
。更多关于质能关系的讨论见下文及拙著《相对论-少年版》。
必须承认,杜隆-伯替的实验以及斯台藩的数值拟合都很酷,维恩的文章我一时转不过来弯儿,其中有许多的旧概念我不熟悉,推导也生硬,等笔者将来认真研究后再另文介绍。更重要的、也令我非常惊讶的是,维恩在1894年就用了功量子(Arbeitsquantum, 就是能量量子)这个词(图8)。实际上,在1900年维恩还用了das electrische und magnetische Quantum(电与磁的量子)这个词。老天,量子这个词是在普朗克1900年研究黑体辐射之前那段时间的文献中已经很普遍了, 更别提黎曼(Bernhard Riemann,1826-1866)1859年和玻尔兹曼1872年、1877年的工作了。笔者愿意再次强调,量子的概念远早于普朗克的工作,正如质能关系远早于爱因斯坦的工作。
图8. 维恩1894年论文中所含的Arbeitsquantum字样。此篇文章署名为Willy Wien,收录在维恩自己的Wilhelm Wien, Das Wiensche Verschiebungsgesetz(维恩位移定律),Verone (1928)一书中。
用不透明的物体围成一个封闭的空腔。处于热平衡态的空腔,其中的光也会达到一个稳衡分布。在空腔的壁上开一个小孔漏光,相当于这个位置吸收了所有从内部加于其上的辐射,故此处是完美黑体——从空腔壁上小孔漏出的光等价于黑体辐射,这是黑体辐射实验研究的理论基础,是当年基尔霍夫提出的。用什么物理量来描述黑体辐射呢,或者说如何描述空腔辐射和黑体辐射呢??为了照应后来的光的能量量子 ε=hv 的概念,本文中坚持针对频率 v 来展开关于黑体辐射的讨论。
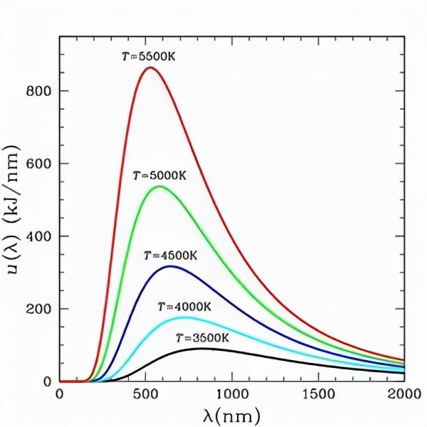
图9. 许多文献中出现的黑体辐射曲线。这一看就是没有实验感觉的人拿函数画的图。地球上的固体物质,熔点最高的要数炭,但也不过4000℃左右(不好确定其熔点哦。想想为什么)。5500 K下的黑体辐射曲线,肯定不是基于实验测量值。
维恩公式基于绝热不变量(adiabatic invariance)的概念。愚以为,这就有深意了。这里暗合时间和温度的内在关系,或与量子多体理论中 T+it 的表达式之思想基础同。维恩分布函数得自分子动力学的考虑,是建立在“辐射是如何从振动分子发射出来的”此一相当随意的假设基础上的,因此受到了瑞利爵士的强烈批判,认为其假设不过是猜测而已。后来,普朗克也不得不做了一些假设(Planck had also been compelled to make assumptions that were somewhat arbitrary),也招致了维恩受到的类似批评。这里有用局部实验数据同函数的吻合来导出理论的凑合行为,但不是问题的全部。关于黑体辐射的理论研究,其中涉及随意假设的内在需求,这也是我们学习黑体辐射理论的难点,下文会格外着墨。
到了1896年,黑体辐射有了基尔霍夫定律,Stephan-Boltzmann公式,维恩位移公式和维恩谱分布,这些内容成了后来的黑体辐射研究的起点和指导原则。一般黑体辐射教科书就是从这里开始讲故事的。实际上,黑体辐射研究吸引了很多物理学家的注意。1895年帕邢(Friedrich Paschen,1865-1947)也想获得黑体辐射谱函数,在此过程中他证实了维恩位移定律,确定了其中的常数。1896年他还提出了自己的经验公式,几乎与维恩的相同。据说,居里先生(Pierre Curie,1859-1906)在大学期间也对黑体辐射作了初步研究(mene une des premieres etudes de rayonnement du corps noir),但未见细节描述。顺带说一句,黑的事物本身是非常有趣的研究课题。勒庞(Gustave Le Bon,1841-1931),那位写了《乌合之众》的先生,其实是一位医生、多才多能的科学家,他的《力的演化》一书就讨论过黑光(black light),有apparatus for the study of black light 等小节[Gustave Le Bon, The evolution of forces,D. Appleton and Company (1908)]。参见拙著《磅礴为一》。
黑体辐射的普朗克公式确定以后,黑体辐射反过来可以作为辐射标准,黑色发射体可以作为辐射参照物,故德语里有Schwarzer Körper(黑体)和Normkörper (标准物)之说——确立辐射标准本就是黑体辐射研究的原意。一个具体的发射体,其发射谱可以用黑体辐射谱近似,从而计算出一个温度来。图10是太阳的发射谱,其和普朗克公式只能说勉强符合,由此得到的太阳表面的温度约在5800K。作为温度估计,这是很好的结果了。据说宇宙背景接近完美的黑体辐射,温度为2.728 K。我对此的态度是呵呵,你懂的(从前编神话的人都不敢这么编。试考虑一下那口天线锅测量的无线电波段的谱范围是多宽?强度响应范围是多大?实际测量结果的噪声比信号高几个数量级?…..)。感兴趣的读者,学点物理测量基础然后去读几篇原始文献吧。真正的伪科学,是看起来像是真科学但细想想哪儿哪儿都不对劲儿的那种。至于那种进一步延伸的技术应用,比如红外体温计,说是也依据黑体辐射的性质,具体细节我就不清楚了。不过,我可以给大家分享我的体验,就是这种所谓的红外体温计经常是对着我时没有数字输出,弄得测温的人一脸迷茫。1988年前后有对某区域天体的辐射测量,忽而就不是完美的普朗克辐射体了,忽而又是完美的普朗克辐射体啦,是和不是都产生了一堆论文。你如果知道得到一个普朗克辐射体谱密度分布实验曲线有多难,大概对这些所谓的研究会一笑置之。
图10. 在大气层以 上测量到的太阳照度随波长或者光子能量的分布,大约对应温度为5800 K的黑体辐射谱。
03
黑体辐射谱测量
在诸多物理学和物理学史文献中,黑体辐射大多会被从理论的角度加以探讨,人们喋喋不休地谈论的是什么普朗克的绝望行动 (Akt der Verzweiflung,我就想不明白,普朗克忙活一个晚上就得到了正确的表达式,绝望从何说起?普朗克的绝望,应该是指他后来理解或者合理化自己的公式时的感觉吧。在如何学着玻尔兹曼将ε→0进行下去时,普朗克有了绝望的感觉。这是普朗克在30年后的一封信里自己说的),而普朗克公式建于其上的黑体辐射谱得以精确确定所依赖的那些仪器制造和测量方法方向上的努力却鲜有人提及,可能是因为理解不了吧!实际上,黑体辐射研究是工业进步需求带来的课题,其数据的获得体现的是十九世纪末德国优秀的实验家文化(Experimentierkultur),恰是这种文化为我们带来了近代物理。关于这一点,熟知近代物理史的人应该没有异议。
如上所述,1860年基尔霍夫确定了黑体辐射的强度只依赖于温度和波长的结论[Gustav Kirchhoff, Über das Verhältnis zwischen dem Emissionsvermögen und dem Absorptionsvermögen der Körper für Wärme und Licht, Annalen der Physik 185, 275-301 (1860)]。基尔霍夫写道(大意):“当一个等温物体围成的空间,没有辐射泄露出去,则在此空间内部的射线束从各方面来说可看作是由完全黑体发射的,只和温度有关。”找出Kirchhoff’s universal function这个普适函数具有高度的重要性(es eine Aufgabe von hoher Wichtigkeit ist, diese Funktion zu finden)。只有这个问题解决了,那得到证明的基尔霍夫定律之富有成果才会展现出来(Erst wenn diese Aufgabe gelöst ist, wird die ganze Fruchtbarkeit des bewiesenen Satzes sich zeigen können)。基尔霍夫是大神,没有数据,也一样获得关于世界的深刻洞见!后来的发展完全证明了基尔霍夫的先知先觉。
要证明基尔霍夫的定理,做比说难多了。对黑体辐射的实验测量稍作思考,会发现如下几个条件可能是必需的:
能长时间保持均匀温度的腔体;
能在跨度很大的温度上长时间保持均匀温度的腔体;
能在很大的温区内标定温度的温度计;
能在大的波长范围内工作的辐射(流量、功率)计;
具有好的波长分辨率的辐射计;
具有弱信号响应能力的辐射计。
在现实中,上述几个条件没有一个是容易实现的(对于任何宣称只用一台仪器获得了黑体辐射谱的说法,我都表示勉为其难的信任),甚至是客观上无法实现的,这也是黑体辐射测量为什么研究机构那么少研究、时间跨度那么长的原因。在1900年前后似乎只有柏林的帝国物理技术研究机构(简称PTR)有这些条件。同时期的帕邢(Friedrich Paschen,1865-1947)在汉诺威做了不多的测量工作。
关于对黑体辐射测量有重要贡献的一些人物,由于他们几乎未在中文文献中出现过,故而对他们的姓名不作翻译。他们分别是维恩(Wilhelm Wien,1864-1928),Max Thiesen(1849-1936),此外还有德国的近代物理实验五杰(quintuple of contemporary German experimental physicists),包括帕邢,Otto Lummer(1860-1025), Ernst Pringsheim(1859-1917),Heinrich Rubens(1865-1922),Ferdinand Kurlbaum(1857-1927)。帕邢是在汉诺威开展研究的。这些人,除了维恩和帕邢(在介绍氢原子谱线时会提到帕邢线系)以外,几乎鲜有介绍,很多量子力学家甚至不知道是Ferdinand Kurlbaum第一个给出了普朗克常数值。其实这些人是对整个近代物理的开启做出了卓越贡献,故而被称为德国近代实验物理五杰的,但他们对近代物理的贡献没能得到公正的评价。这其中的缘由,愚以为是因为物理学家们一般都缺乏理解真正物理实验的能力——那可是一门需要天分、理论功底、技巧和奉献的行当。理论家可以对实验一窍不通,回到家连个灯泡都不会换,但合格的实验物理学家首先要有深厚的理论功底,好的实验家才有能力促进理论与实验的共生(symbiosis between theory and experiment)。仔细回顾一下黑体辐射研究的历史,看看基尔霍夫、维恩等实验物理学家的理论水平,当知愚所言不虚。
为了开展黑体辐射实验研究,首先要做出满足黑体辐射问题所要求的热发射体。人们首先用金属板来实现黑体(腔体),其内表面通过氧化、喷涂等工艺变黑,但是结果都不是很理想。直到1895-1898年间,PTR的Otto Lummer和同事Ferdinand Kurlbaum,Ernst Pringsheim才往前取得了一小步的进步。1895年,Otto Lummer和维恩认识到,既然黑体的辐射可以理解为热平衡的状态,这样处于均匀温度下的空腔自开孔处漏出的辐射就是黑体辐射了。黑体不是问题,热平衡才是大问题。为了接近完美的黑体辐射,必须找到实用的办法,让空腔处于均匀温度,允许其辐射通过一个小孔透出去。为此人们用金属,或者金属加陶瓷,内壁涂抹炭黑、或者氧化铀,来实现黑体[Wilhelm Wien und Otto Lummer, Methode zur Prüfung des Strahlungsgesetzes absolut schwarzer Körper(验证绝对黑体辐射定律的方法), Annalen der Physik 56, 451-456 (1895)]。这样,Otto Lummer就和Friedrich Kurlbaum一起找到了实现黑体的近似方案。Otto Lummer此人生于1860年, 1884年在柏林的物理研究所给亥尔姆霍兹(Hermann Helmholtz,1821-1894)当助手,1889年转入PTR的。Otto Lummer和Ferdinand Kurlbaum采用电发光黑体在1898年得到了1600℃下的黑体辐射。
注意一个背景,十九世纪后半叶是电磁学和热力学蓬勃发展的时期,熵和电磁学的概念都是1860年代前后的产物。PTR的研究课题布置着眼于当时的工业需求,而且关注基础问题,因为它的创始人西门子(Werner von Siemens,1816-1892)和亥尔姆霍兹认为“工业不该把科学降格为使女,而是应该擎之为指路女神 (Die Industrie die Wissenschaft nicht zu ihrer Magd degradieren dürfe, sondern sie vielmehr zu ihrer Pfadpfinderin erheben müsse)”。[5]PTR的黑体辐射研究(图11)动机除了要验证基尔霍夫定律,还是因为想拥有手持灯标(Lichtnormal)。那时候刚有了气体放电灯和电灯。气体放电灯和电灯之间是竞争关系,跟后来的直流电机与交流电机之间的竞争类似。将黑体辐射作为标准,将光源的辐射同恒温黑体光源作比对,借助系统的辐射研究与发光物理基础的新知识可以优化光源设计。具体地,就是要回答如Otto Lummer所提的问题:“为什么此一光源比彼一光源发光多,为什么发光量随着温度增加而增加?” PTR不仅研究空腔辐射体,也研究热辐射探测器。实际上,没有辐射探测器的研制,就没有后来的黑体辐射理论研究。黑体辐射谱的确定需要高灵敏度、宽谱的探测器, 为此特别要发展出红外光的探测方法。黑体辐射的实验研究在美国天体物理学家Samuel Pierpont Langley(1834-1906)于1880年引入了辐射计(bolometer. Bolo,本意是扔,与ball一词同源)以后迅速取得长足的进展。接下来对辐射计的改进,就其学术与技术意义而言,本身就值得大书特书。
图11. 柏林帝国物理技术研究机构的辐射实验室
19世纪下半叶,工业发达的德国为现代物理的建立贡献了许多非常重要的实验。就黑体辐射而言,贡献者除了维恩之外,还有前述的德国近代物理实验五杰, 即帕邢,Otto Lummer,Ernst Pringsheim,Heinrich Rubens,以及Ferdinand Kurlbaum。此外,还有Max Thiesen,其人在1899年提议修正维恩定律。Lummer和Kurlbaum 于1892年对辐射计做了改进,后来Lummer和Pringsheim又做了进一步的改进。至于黑体辐射源,基尔霍夫有关于完美辐射体(perfect radiator)的理论,建议带有小孔的空腔可用作黑体辐射的研究。维恩和Lummer于1895年实现了这样的黑体辐射源,Lummer和Kurlbaum于1898年制作的电加热黑体辐射源,规格为 Φ4×40cmcm。有了辐射源和辐射计(图12)之后, 维恩和Lummer先验证的是Stefan-Boltzmann公式。自1895年起,帕邢经过努力,获得了从400 K到1400 K的温度下波长在1μm到8μm之间的辐射谱分布,验证了维恩位移定律。更长波长区域的测量还得等20多年后才由很多人,特别是Rubens,努力完成的。
图12. (左图) Lummer和Pringsheim使用的辐射计。辐射计基于热测量,入射的光被接收的金属片吸收,被加热的金属片的电阻由Wheatstone电桥精确测量。据说其温度分辨达10-7 K {曹:我对此说法存疑}。(右图)Lummer和Kurlbaum 制作的电加热黑体辐射源
从1896年开始,Lummer和Pringsheim很快就得到了从600 K到~1650 K温度下波长在1μm到8.3μm 之间的谱分布,测量结果和维恩谱分布公式之间的误差变得明显起来。后来,他们又把测量的波长范围延伸到12-18μm,得出结论维恩公式在高温下以及长波长处有问题。Rubens和Friedrich Kurlbaum {曹:难道是Ferdinand Kurlbaum之误?}于1900年更是将波长扩展到了51.2μm,温度范围扩展为从85 K到1773K。然后温度被升到了1600℃。将温度在1600℃上稳定下来,技术上这是一个巨大的进步。在自然课课堂上做过实验的人都知道,在1000℃以上实现稳衡、均匀的温度场,不是一件容易的事儿。
关于这一部分历史的内容,如下的参考文献会有帮助:
Claes Johnson, Mathematical Physics of Blackbody Radiation, Icarus iDucation 2012
H. Kangro, Vorgeschichte des Planckschen Strahlungsgesetzes(普朗克辐射定律前史), Wiesbaden (1970).
Dieter Hoffmann, Schwarze Körper im Labor(黑体的实验室研究), Physikalische Blätter 56(12), 43-47 (2000).
Sean M. Steward, R. Barry Johnson, Blackbody Radiation: a history of thermal radiation computational aids and numerical methods, CRC Press (2016).
柏林帝国物理技术研究机构1887-1900年间发表的关于黑体辐射研究论文见于目录Verzeichnis der Veröffentlichungen aus der Physikalische-Technischen Reichsanstalt: 1887-1900, Springer (1901),极具参考价值。
行文至此,加几句感慨。子曾经曰过:“工欲善其事,必先利其器。”这句话两千年来被敷衍潦草地解释为工匠要想做好事情,必须把工具准备利落了,说得好像手里已经有工具了似的。须知,就自然科学实验研究而言,工具常常出现在对问题有了认识之后,而工具本身可能是理论认知的结果,实验研究过程也是theory-laden的。你如何知道问题需要什么样的工具呢?工具运行的原理又是什么呢?这些问题是要有人(通过实践)回答的。一个好的理论物理学家心里是装着物理现实的(请注意,爱因斯坦在ETH的教授职位是实验物理教授,他老人家自己选的),一个好的实验物理学家应是通晓理论物理的。就黑体辐射研究者而言,维恩是其中贡献最杰出者。
注释
[1] Reciprocity principle这词儿很重要,笔者有长篇讨论,见“物理学咬文嚼字” 078篇。
[2] 我瞎猜,超导、超流也是一种热力学现象,应参照黑体辐射研究历程加以研究才好。进一步地,它应该被当作一种极限现象,因而期待某种逻辑上的跳跃。
[3] 镜子是个对特定的光波长成立的概念。哪有对全波长都表现为镜子的表面呢。
[4] 这篇文章原文上作者名的写法是Willy Wien,不知道为什么。
[5] 这句话对于率先呼唤工业4.0、又要在科学与技术方面奋起直追的当下中国具有特别的意义。
来源: 返朴
科普中国公众号
科普中国微博

帮助
返朴 