在一般认知里,温度和时间是两个截然不同的物理量,现在物理学家可以通过一种数学上的骚操作把它们联系起来,甚至可以“互换”。这个操作就是威克转动(Wick Rotation)——把时间变为虚时间。虚时间的引入,能使量子力学和统计物理中的问题相互转化并求解。尽管物理学家尚不十分清楚这一操作背后的物理本质是什么,但它一直是处理各种物理问题非常有效的工具,现在就来看看威克转动的神奇之处吧!

撰文 | 董唯元

物理学的魔力之一,就是能够将原本看似不相关的事物联系起来,从而揭示出自然规律更深刻的本质。在牛顿之前,恐怕没有人会相信,苹果落地与日月星辰的运行,背后由统一的规律在支配。今天我们要聊的时间与温度,也是两个貌似无关的物理对象,但是通过一种数学操作,它们之间的神秘联系就能显现出来!

虽然现在物理学家还无法完全理解这种联系的本质,但作为一种跨界处理问题的工具,它已经显示出了惊人的威力。像黑洞辐射温度这类原本看似无法下手的计算,现在竟然可以非常轻松地完成,其难度甚至不会超过高考数学压轴题。正是这种神奇的魔力,使许多物理学家都逐渐开始相信,这种数学操作的背后,一定还隐藏着尚未充分挖掘的深层物理奥妙。

用虚数计量时间

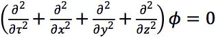
在相对论时空中,两个事件之间的距离ds是个不随参照系改变而变化的量,用自然单位制c=1简化后,事件距离ds满足的关系就是

ds^2=-dt^2+dx^2+dy^2+dz^2

这套分配给坐标 (t, x, y, z) 的系数 (-1, 1, 1, 1),称为闵可夫斯基度规,对每一位学习相对论的同学来说都是再熟悉不过的日常。不过既然时间和空间已经整合成了一体的时空,人们便总是希望能对称地看待时空中的四个坐标,闵氏度规中的-1就显得有些破坏对称美。

当然,将闵氏度规 (-1, 1, 1, 1) 更换成欧几里得度规 (1, 1, 1, 1) 的方法,肉眼可见的简单,只要将时间变成虚数


就可以得到


这个由实数时间向虚数时间的变动,就称为威克转动(Wick Rotation)。


威克转动不仅可以让线元ds的表达式变对称,如果强迫症上身,其实可以将所有波动方程都由


的形式,写成


这种更对称的样子。

既然威克转动带来的形式外观如此优雅,为什么在相对论的入门教科书中却极少使用呢?这主要是因为,数学形式上的和谐对称未必能帮助初学者理解掌握其物理内涵。比如我们经常说:两事件之间 ds^2<0 表示他们在同一个光锥内,可以存在因果关联;而 ds^2>0 时就铁定不存在因果关联。可是威克转动后 ds^2<0 的情况会消失,对初学者理解世界线的“类时”和“类空”反倒添了麻烦。不过在引力理论中,威克转动还是会显现威力,相关内容会在后文介绍。

量子现象在虚时间中的经典图像

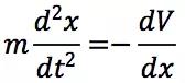
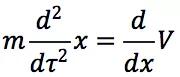
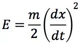
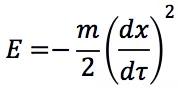
要说引入虚时间后能帮助直观理解的例子,量子隧穿现象就很有代表性。这种早已人所共知的现象,是量子力学课堂上的常见习题,但用经典牛顿力学似乎无法求解。按照牛顿定律


粒子所携带的动能


只有E>V的地方,才能解得出粒子的位置x,而在E<V的地方则根本不存在x的实数解。这是我们在中学物理课上就已经熟悉的结论。

当我们将时间换成虚数,


,会看到牛顿定律的方程变成了


动能E变成了


原来,在虚时间的世界里,势能和动能都被加上了一个负号,于是粒子的位置x就只能出现在E<V的地方。


这个在虚时间世界里的解,刚好可以完美描述量子隧穿行为。处在虚时间过程中的赝粒子被称为瞬子,而量子隧穿就可以看做是瞬子在“势阱”里从一端运动到了另外一端,其运动过程和轨迹完全遵守牛顿定律,只是将时间变成了虚时间。没想到吧,在虚时间的帮助下,我们居然可以用牛顿力学的经典轨道来描述量子行为。

之所以能将飘忽的量子效应拉回到经典图像之中,是因为量子理论中很多奇特效应,反映在数学形式上就是以复数的形式体现。如果虚时间出现的位置合适,刚好就可以把这些复数变量重新变成实数。

不过更为有趣的是,虚时间的引入居然可以使量子力学与热力学产生许多微妙的联系。

联结两个算符

量子力学中有个时间演化算符,描述粒子随时间推移由一个量子态演化到另一个量子态的过程。热力学里有个密度算符,表述纯态在混合态里的统计占比。对比演化算符


和密度算符


不难看出二者的相似,只要勇敢地做出


替换,就可以相互转换。


可是这种纯数学上的“换元”操作,背后有物理意义吗?联想到密度算符中的β其实就是玻尔兹曼常数k与绝对温度T乘积的倒数,也被称为逆温度,而温度又与熵S对能量E导数有关,所以这种转换中暗示了虚时间与熵变之间的联系吗?



应该说这种脑洞有些过于写意,至少在没有足够具体的图像来支撑之前,不能随便做出这种推测。不过稍稍退回半步,关于虚时间与温度之间的联系,倒是确实已经有非常“物理”的内容,并且已经在理论研究中发挥着日益重要的作用。

最直观的解读就是,虚数单位i配合着实时间t一起出现在指数位置,这说明实时间其实是相位自由度,负责描述概率幅变化。在热力学的平衡态系综里,恰恰缺少了相位自由度,但同时多了另一个描述概率分布变化的参数,那就是温度。从这一点来看,直接把逆温度β与虚时间归为同类,至少当做哲学作业是可以交差了。

当然这种“因为缺骰子所以改掷硬币”的解读还是过于粗浅且模糊,如果现在就声称二者在物理上有什么内在一致性,恐怕很多人都还会满腹狐疑。相位有周期性重复,而实指数分布则不存在周期。况且时间在我们的认知里一直是个维度,很难相信温度也能充当维度的角色。两者的体貌特征实在差距太大,硬说是一对双胞胎,实在难以令人信服。

在进一步了解它们的物理意义之前,我们不妨先看看虚时间到底在哪些地方发挥了怎样的作用。

路径积分中的虚时间

费曼的路径积分理论,物理图像十分精彩,但具体数学操作却很容易吓倒一些初学者。引入虚时间的威克转动,就是经常用来简化路径积分的一大利器。

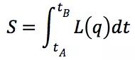
在讨论粒子运动的语境中,路径积分的意思是:粒子从A点走到B点的过程中,并不是留下一串固定的脚印,而是离开A点后立即化做无数的分身,这些分身同时经过了所有可能的路径,最后在B点又汇聚在一起。其中每一条路径上的分身,都对最终达到B点的概率做出自己的一份贡献。具体的贡献内容,就是状如e^(i/Sћ)这样一个相位,指数中的S是分身在路径上的作用量,也就是拉氏量L的积分。


计算一条路径的作用量和相位贡献貌似不难实现,但是如何把无数条路径的贡献累加在一起,则要颇费一番功夫。图中的“


”看起来谜之轻巧,但它其实是路径积分专属特殊标识,代表所有分身合力完成的无穷多重积分。


之所以解释这些,就是为了请读者感受一下这个貌似简单的


背后,到底隐藏着多少复杂繁琐的计算内容。如果给出粒子拉氏量L的具体形式进行实际计算的话,往往不能直接暴力求解,而需要先做许多铺垫动作,有些情况甚至根本无法计算。

下面我们来看看威克转动到底能帮上什么忙。


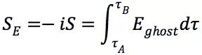
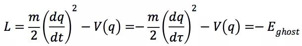
首先是拉氏量L的变化。如果把


代入,会发现一个不显含时间的拉氏量居然变成了形似哈密顿量的样子,不过别忘了我们是在虚时间内,这个并不是哈密顿量,姑且把它就看做一种“鬼魂能量”吧。


然后再考察作用量S的变化。令



也就是让分身改用虚数计时,那么原来的作用量S就变成了虚数。


最后我们再另外定义一个实数的欧几里得作用量SE,也就是刚才那种“鬼魂能量”的积分。


到此就变形完毕。

来检查一下如此折腾一番之后,世界有没有变得更美好。我们发现,引入虚时间后,每个分身所携带的贡献,由原本状如e^(iS/ћ)的相位贡献,变成了


这样的指数率贡献。这就有趣了。

在没引入虚时间之前,我们对路径积分的认识是:不同分身之间存在相位差,某两个分身的相位相反时就会互相抵消。而ћ是非常小的量,这使得路径稍有不同的两个分身,他们之间的作用量差异就可以使相位贡献差异很大,于是来自众多路径的贡献纷纷相互抵消,最后只剩下经典路径的贡献。

而引入虚时间之后,所有路径都提供正向贡献,正负相抵的情况不再存在。不过不同路径的贡献程度不同。经典路径,也就是最短路径,因为欧几里得作用量最小,所以贡献程度最大。而偏离经典路径的那些分身,他们的贡献度指数级衰减。看,虽然外表有变化,但同样使路径积分理论与经典情况顺畅衔接。

现在我们再来回头审视前面提到的,虚时间和温度在物理意义上关联程度的讨论,也就是描述概率幅的相位,与描述概率分布的指数率,这二者之间的内在一致性,似乎就没那么难以接受了。而接受了这种内在一致性之后,量子力学与热力学之间便架起了宽敞的大桥,许多原本只在自身领域发挥作用的理论工具,都有机会服务于另一领域的棘手问题。

其实在高阶量子理论尤其是路径积分工具的使用中,来自热力学的关联配合已经非常紧密。以至于几乎每一本涉及路径积分的教材里,都会像植入广告一样适时地插入一段介绍热力学的章节。初学者也许会丈二和尚摸不着头脑,以为编辑排版出了差错。而对熟手来说,“不懂热力学的路径积分都是假的路径积分”似乎已然成为一种共识。


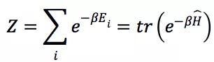
温度相当于循环的虚时间

热力学里配分函数几乎是一切计算的开始,其意义是系综所有微观状态总数。能量为E的微观状态数是e^(-βE),所以这个总数自然就是密度算符


所有本征值之和。


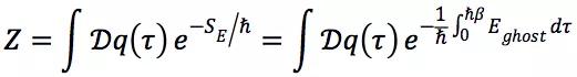
利用威克转动将逆温度β视作虚时间,我们也可以把配分函数也写成路径积分形式。


其中虚时间τ范围为


且行走在一条闭合的“路径”上,即q(0)=q(ћβ)。注意这里的q不再是粒子的空间坐标,而是代表系综的状态。

具体推导过程需要用到传播子概念,为了赶时间,此处省去五千八百字。如果有读者不能释怀,不妨从路径积分的物理图像中感受一下:站在终点B点处看那些来自起点A点的那些大量粒子分身,不也是一种“统计”问题吗?那些行走在不同路径上的分身,就相当于系综里的不同微观态。其中由


所积的每一个


都是来自某个具体微观态的贡献。

比推导过程本身更值得提的,是这个闭合成环状的虚时间维度。之所以出现这样的周期性条件,是由类比路径积分的传播形式得到。这与热力学教科书中不分青红皂白给出的有限空间周期性边界条件似为巧合,究其本质,其实都是应概率均匀性要求而得出的必然结果。


但是一个名字中带有“时间”二字的维度,居然呈现出循环闭合的样子,难道我们要像科幻电影中的场景一样,不断重复着昨天吗?没错,热力学告诉我们,如果把温度看做虚时间的话,那么它就是这样一个闭合循环的奇特“时间”维度。看来企图在这个维度上寻找因果关系肯定会令人失望,我们还是索性把它视作一种类似空间的维度更舒服些。不过还是要注意,这里维度τ是有固定方向的单向维度,这一点与空间维度略有区别。

总之,当我们利用威克转动把温度视作一种虚时间维度后,会发现一些新奇的特性,与原本的时间维和空间维都有所不同。这些特性所隐含的有趣规律,在后文介绍量子场论结合热力学的时候会提到。现在,我们先闪回到配分函数的路径积分表示。


这里包含着每一个微观态,其贡献是


同时热力学告诉我们每一个能量级别E所包含的微观态数量为e^(-βE)。对比两者,再打开脑洞发挥想象力——我们可以为每一个微观态构建其动力学图像。



这个略显“无厘头”的把戏有什么实际用处呢?一方面,这个机械性的小环图像,可以辅助我们将热力学问题解读为动力学问题,从而获得额外的解决思路;另一方面,其实我们还能反向使用这个图像,当遇到形式类似欧几里得作用量这般的动力系统时,不妨尝试利用威克转动,将其变成热力学问题来求解。

量子场问题的“降维打击”

狄拉克方程和杨-米尔斯理论问世以后,人们认识到构成物理世界的基础并不是粒子,而是一系列规范场。我们所讨论的粒子,只不过是场的激发,或者借用经典概念来说,就是个波包。在研究这些四处弥漫且肆意抖动的场时,费曼路径积分思想就成为了非常重要的工具之一。


当然,与粒子版本的路径积分相比,规范场的路径积分在数学形式上要更麻烦一些。在这些到处都是无穷的式子里,如果想着手处理实际问题,不知道会抓掉多少头发。好在还有威克转动这一护发神器相助,才能在恼人的无穷之中巧妙地找到有穷。更具体地说,一些无穷变有穷的秘密,就藏在那个兜圈的虚时间维度里面。

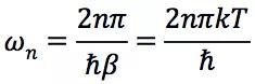
对规范场的路径积分进行威克转动后,周期性边界条件仍然存在,也就是说虚时间维度τ,仍然是一个周长为ћβ的闭合环。略有区别的是


玻色子取正,费米子取负。

当我们把虚时间τ视作某种类似空间的维度时,一个理所当然的属性就浮现了出来:如果这个维度上存在满足周期性边界条件的波,那么对其傅里叶分解后只能得到离散的频谱。就是这么个非常平常的事实,在热力学与量子场论结合的地方发挥了非常重要的作用。


这个重要结论就是:在有限温度条件下,规范场具有一组离散的虚频率,这种虚频率被称为Matsubara频率。

对玻色子,绕环一周相位相同。


对费米子,绕环一周相位相反。


而频率又对应着能量,于是我们就发现,原来这个维度里藏着一个离散的“鬼魂能量”谱。“鬼魂能量”又可以作为处理许多统计问题的出发点。这下好了,终于可以躲开无穷做计算了。

不过这个离散能谱的存在,并不能帮我们甩开所有的无穷,实际上它只是帮我们减少了一个维度上的烦恼。换句话说,借助威克转动,用虚时间维度的离散谱,消除了原本在实时间维度上那些连续且不可数的痛苦。在专业人士口中经常流传的一种说法就是:威克转动可以将n维的量子体系问题,转化为n-1维的热力学问题。当然转化是双向的,如果在量子场论中的工具更合适,不妨也可以将n-1维的热力学问题转换成n维的规范场问题。


计算黑洞的温度

本文开始的时候提到虚时间在引力理论中也会发挥威力,现在我们就以黑洞辐射温度这个例子来填前面挖的坑。在1974年霍金发表的论文中,用了几页篇幅才完成的推导过程,我们这里将使用威克转动神器秒杀之。


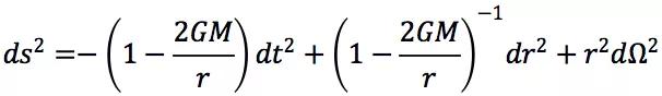
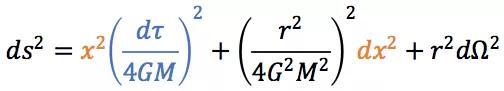
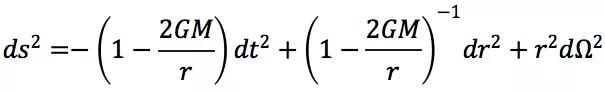
让我们先用球坐标史瓦西度规写出时空线元表达式。


这里同本文开始一样,也采用c=1的自然单位制来偷懒。其中Ω是球面对应的空间角。


我们第一眼看到表达式就能看出r=2GM是重要分界处,它就代表黑洞的视界。r>2GM的位置在黑洞之外,而r<2GM时就进入了黑洞内部。再看第二眼,还能发现黑洞视界内外的时空度规正负号出现了变化,进入黑洞后,时间项的度规由负数变成了正数,而空间项的度规则由正数变成了负数。也就是说,黑洞内部出现了时间维度与空间维度互换。这种时间与空间互换的奇特结构,正是支撑黑洞产生热辐射的物理基础。

我们知道真空中充斥着能量涨落,随时会有一对粒子产生,转瞬间再相互碰撞湮灭。虽然这种向真空借取的能量似乎破坏了能量守恒,但不确定性关系会逼迫这种凭空借贷必须在极短时间内就要偿还,过后一切如常能量守恒律完好无损。然而这种随处上演的剧本,却在黑洞视界处有了不一样的情节安排。

当一对凭空产生的粒子对中,如果有一个粒子脚下一滑落入黑洞视界以内,它们的分手就无法破镜重圆了。因为黑洞内的时间空间互换结构,落入黑洞内的粒子能量变成了动量,动量变成了能量。这种“变性”之后的粒子,已经不能再回到从前伴侣的身边了。


真空涨落中的粒子对能量都是一正一负,如果携带正能量的粒子被黑洞吞噬,其结果就跟吞噬了普通物质一样,剩下的负能量粒子早晚要跟其他正能量粒子再次碰撞湮灭。如果黑洞吞噬的是负能量粒子,那么剩下的正能量粒子就是黑洞向外界的辐射。同时,黑洞自己因为误服了负能量的粒子,体重也会下降,这也从总体上保全了能量守恒律的颜面。总之,整体效果就是黑洞牺牲了自身体重,来向外发出热辐射。这就是黑洞具有温度的物理原因。

了解了这个物理机制之后,请读者此处暂停片刻,思考一下对黑洞温度的具体求解应该从哪里入手呢?

如果一时没有思路,就再看第三眼上面那个史瓦西度规的线元表达式吧,毕竟那里是我们推导过程的起点。


仅凭中学数学的功底,我们就可以大致看出些它所描述的时空样貌。当我们距离黑洞很遥远时,r>>2GM,时空就退化成了完全平直的样子。


这里标颜色的原因,一分钟后就知道了。

好了,事不过三,我们不能再停留在那个线元表达式上面了。接下来要做的,当然就是变形出发。


变形的第一步无悬念,就是将时间替换成虚 t→-iτ 数,不过这还不够,我们还需要引入一个新的变量x。


这样一番代入整理之后,时空的样子变成了这样


现在我们眼睛只盯住


关系,再对比变形出发之前的最后一个式子。不难发现,我们现在构造出来的也是一个平直空间,


扮演了空间角的角色,不过现在是在


二维平面内讨论,这个


就变成了平面内的一个角。


平面是平直的连续空间,当x→0时,空间度规仍会与周围继续保持一致,于是就必须满足


别忘了τ是以ћβ为周长的环,也就是


于是就这么轻松愉快地得到了黑洞温度。


前面一直偷懒使用c=1自然单位制,换回普通单位制。


这就是我们要求解的黑洞辐射温度。

隐藏的秘密仍待发现

得出黑洞辐射温度,只是循环虚时间这一概念在引力理论中众多应用之小小示例。但已经非常明确地显示出,威克转动这个数学小技巧似一道神奇的令牌,竟然可以兮乎间调动来自量子理论、热力学以及时空引力理论等诸多方面的神兵共同出阵。其魔力究竟源于哪里,至今仍是物理学家们颇为好奇的疑问。

另外,一些依靠循环虚时间概念所展开的理论研究,也在迅速发展之中。例如一个名为欧几里得量子引力的理论系统(EQG,Euclidean Quantum Gravity),就已经将虚时间作为主要武器,在探索引力量子化、宇宙暗能量和宇宙创生等方面都取得了不俗的成就。


来源: 返朴