电,这个曾经被富兰克林用风筝捕捉的自然现象,如今已成为人类文明最强大的驱动力。本文以清晰笔触梳理电学演进,从富兰克林的风筝到特高压电网、量子通信,揭示电的双重本性——既是驱动文明的稳定能量,也是连接世界的无形波。当前能源革命与数字文明交汇,电的领域迎来空前机遇。本文摘录自香港理工大学出版社《开物Ⅲ:科技与文化》,经作者修改后在科普中国发表。
撰文丨陈福祥 香港工程师学会
一、闪电与富兰克林
美国发明家班哲文·富兰克林在1752年研究闪电,他在雷雨天气下放风筝,经过实验证明了雷雨云中的闪电与静电放电的火花相同,进一步理解了“电接地”原理,推断出如果雷雨中的电荷能够传导到地面,那么被闪电击中的建筑物就不会受到任何损害。他发明了一根由铁棒制成的能插入地下约一米深、并穿过建筑物,另一端高出建筑物最高点约一米的避雷针,距今已有270年历史。事实上,避雷针的作用是将雷电引到地上,并不是避开雷击。

积雨云内及地面上的电荷分布
二、电的历史
(一)物质结构
分子是组成物质并能保持该物质物理化学特性的最小单元,由原子构成。例如,水由水分子组成,水分子则由两个氢原子和一个氧原子结合而成。
原子由原子核和核外电子构成,原子核由中子和质子组成。其中,电子与质子带相同电量,电性相反,中子不带电。在每个原子中,带正电荷的质子量与带负电荷的电子量相同,净电荷为零,原子总电量呈中性。核外电子受核内质子吸引,围绕原子核运转。最外层的电子是“价电子”,距离原子核最远,吸引力最弱,当受到外来能量的影响时,能脱离运行轨道自由活动,即“自由电子”。当原子失去电子时,成为带正电的原子,即“正离子”;当原子获得额外电子时,成为带负电的原子,即“负离子”,原子成为离子的过程,即“电离”。
物质以导电性强弱可分为导体、半导体、绝缘体,价电子数目决定导电性强弱。价电子少于4个,易导电,如铜和铝等金属,是导体;价电子有4个,导电性受外来因素的影响大小而不同,介于导体和绝缘体之间,如矽和锗等物料;价电子多于4个,紧密围绕原子核运动,不易游离成自由电子,是绝缘体,如玻璃及陶瓷等物料。绝缘体在电气设备中用以支撑或隔离不同的导体,阻止电流通过。
(二)电学名人
电学中,电压=电流×电阻,这三个物理量的国际单位分别以伏特、安培、欧姆三位物理学家命名。
1785至1791年间,夏荷·库伦发表了七篇有关电与磁的重要论文,电荷的单位因此以“库伦”命名。
1800年,亚历山得罗·伏特发明了电池,这是化学电源装置,在交替叠放的金属中间夹有盐水或酸性溶液纸板,金属间因发生氧化还原反应产生持续电流。
1822年,安德烈·玛丽·安培在实验现象中发现,两根平行载流导线以各自产生的磁场对另一根导线产生作用力。1826年,安培提出,载流导线中电流产生的磁场强弱,与导线电流大小成正比,和导线距离成反比,即“安培定律”,导线周围磁场的方向可由“安培右手定则”判断。
1826年,格奥尔格·欧姆发现,在一定的电压范围内,电阻是有定值的,即“欧姆定律”。
1831年,迈克尔·法拉第提出“电磁感应现象”,他将整块磁石插入中空的铜圈,电流计上的指针发生了摆动,他又快速将磁石抽出,指针又一次摆动,这意味着,一种以感应方法产生的电流出现了,这便是后来“法拉第定律”原理,即在围绕变化磁通量的电导体中产生了电动势。1833年,他提出“电解法则”,这对化学、合金领域有很大贡献,电容单位后以“法拉第”命名。
1831年,约瑟·亨利利用新开发的变动电流和感应电压原理,创造了史上最早的电磁驱动机器之一,这是现代直流电动机的最早范例,感应单位以“亨利”命名。1887年,海因里希·赫兹研究证明,电磁波能在空气传播,速度为光速,频率单位以赫兹命名。
(三)交流电与直流电之争
电的最早商业用途,例如电报、弧光照明系统和金属电镀,都是使用非常昂贵的电池作为电源。弧光灯的原理是,将导电的细木碳棒,连接上一个高电压电池,当电从电池正极在第一根碳棒传导出时,接上电池负极的另一根碳棒,便能产生光,用以照明。1878年,英国人约瑟夫·斯旺成功发明了白炽灯,这项发明被刊登在《科学美国人》,爱迪生看到报道后,召集团队开始制作灯泡、寻找灯丝的实验研究,最终选用熔点超过3500℃的碳化绵丝。1879年10月21日,这颗碳丝白炽灯连续燃亮45个小时。
1880年代初期,有直流发电机和交流发电机两种发电机,当年,美国有三家电力供应商。事实上,直流发电机在交流发电机加上换向器,便可产生直流电。爱迪生照明公司于1882年成立,基于110伏特直流电源,为其高电阻白炽灯供电。直流供电的有效传输范围相对较短,仅能为距离小于1.6公里的客户提供供电服务。1884年,乔治·威斯汀豪斯的西屋电气公司进军交流电系统。变压器能将电压“升压”到更高传输电压(3000伏特),再降至较低的最终用户电压供商业和住宅使用,能为大面积、长达11公里的电路供电。1886年3月,安装了第一个多电压的交流电源系统为白炽灯供电。1887年底,汤姆森·休斯顿电力公司建造了22个发电站,提供直流及交流供电系统,在当时,爱迪生照明公司拥有121个直流电站,西屋电气公司拥有68个交流电站。1887-1888年间,尼古拉·特斯拉的交流电研究获得了30多项发明专利,在他的基本专利发明中,将“两相”发电机与电动马达连接在一起,还描绘了一种具有三个线圈的发电机,这是后来“三相”供电电网的雏形。俄罗斯的米哈伊尔·多利沃·多布罗沃尔斯基,成功制作了三相感应马达。此后,三相六线减少至三相三线供电,交流电成为经济实用的供电模式。
以上直流电与交流电竞争的供电历史,被拍成电影《电流之争》,讲述了这段供电发展历程。

电学中常见符号
三、电力系统的发电输电配电
电力系统的发电、输电及配电,从1880年算起,距今已有140年的历史。
(一)输电设备
最早期的电力供电设计,发电厂比较接近用电中心。电力传输过程最大的损耗是导电体的电阻,要在定量电流下传输较多电力,就要提升电压。中国特高压输电技术不容小觑,其电压包括直流电±800千伏特,直流电±1100千伏特,交流电±1000千伏特,这使中国在西电东送工程中能将损耗降至最低。电网发展历程中,俗称“开关”的断路器是重要元件,用于设置线路安排、系统控制及隔离故障。断路器的绝缘介质有油、压缩空气、六氟化硫、真空。其中,六氟化硫被用于275千伏特及400千伏特输电网中,其绿色替代品氮氧仍在研发中;真空断路器主要用在11千伏特和22千伏特配电网中。架空天线及地底电缆是构成电网输送电力的必需线路元件,架空天线输电时可能会受到雷击或植物生长的影响,地底电缆成本昂贵,比架空天线价格高达十倍或以上。时至今日,以香港特别行政区为例,电网供电可靠性已达99.999%的世界水平,但不能达到100%,电网供电受天气环境、系统设备、组件性能、人为因素等多方面影响所致,所以在电网设计及运行时,要预计在发生和处理单一故障时,不会影响整体运作的情况,即“N-1考虑”。

电力系统之发电、输电及配电
(二)碳中和
根据2015年《巴黎协定》,我们需将全球平均气温上升控制在1.5℃上限。因此,加速开发应用可再生能源,尽一切努力实现二氧化碳零排放,才可在2050年达至碳中和。供电系统方面,应逐步减少甚至停用以化石燃料经机械能转为电能的发电机。电能可由太阳能、风能转变而成,由于可再生能源断断续续、时有时无,所以电网必须配合实现“有效”管控。电池储能系统可平衡能源供需、维持电网供电稳定、防止再生能源浪费,此外,可利用人工智能及物联网等技术,打造智能电网。
(三)电气安全
电气安全是指所有与发电、输电、配电以及用电各方面的安全。高压电力装置通常在发电、输电及配电电网中,由专业经验人士操作,辅有不同的工作守则保障电力系统安全运作。在家居用电中,漏电保护器(RCD)及电弧故障断路器(AFDD)是现代家居的重要安全保护装置。
四、电“波”
电最初应用在照明方面,白炽灯的钨丝通过电流时,只有10%成为光能,90%被消耗为热能。如今,发光二极管(LED)取代白炽灯,直接把电转化为光。我们日常用的“电”,是电原子的“粒子”形态,而电原子也能以“波”的形态出现,这种双形态与“光子”“光波”的双形态相同。爱因斯坦在1905年提出“光电效应”,下面我们看看在“电磁波”中,电以“波”形态的应用。

电磁波的前进
(一)电磁波
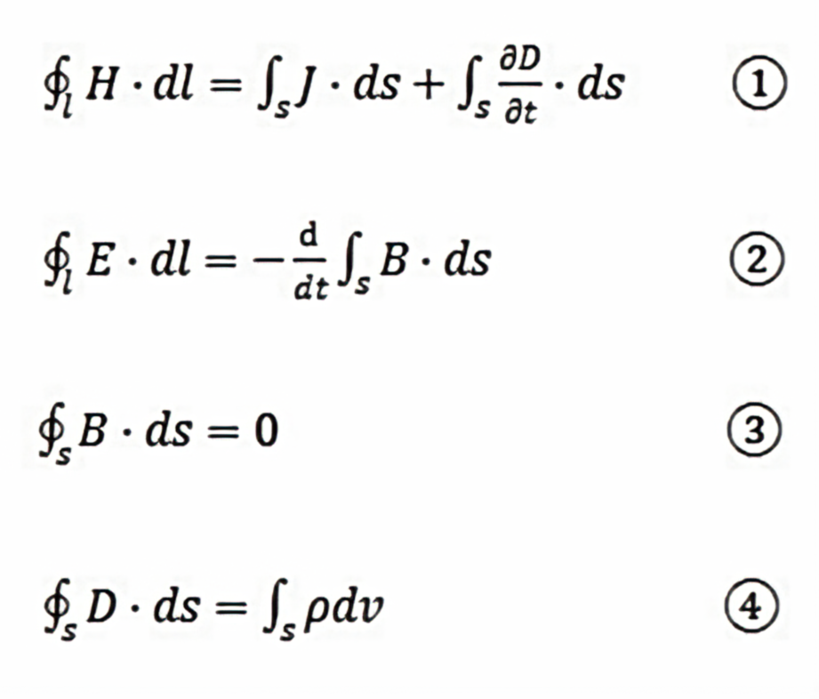
光电效应是指光子所拥有的能量与光的频率有关,这个理论推动了量子力学的诞生。1905年,爱因斯坦在论文《关于光的产生和转变的一个启发性观点》里,提出光量子假设,重新解释了光电效应,即当光照射到金属表面时,只有高于某特定频率的光才会导致光电效应(电子射出)。1924年,路易·德布罗意基于爱因斯坦和麦克斯韦对光波的研究,推论出任何物质同时具有波动性和粒子性。其实在1831年法拉第提出电磁感应现象时,已预言了电磁波的存在,电场方向与磁场方向相互垂直于传播方向。詹姆斯·麦克斯韦方程是电磁学上最重要的定律,他首次提出光的电磁理论,而后发展成电磁波的一般方程式,整合了库伦定律、高斯定律、法拉第定律、安培定律等。

电场及磁场的相互作用,除了应用在发电机,还以“波”的形态应用,即电磁波,最重要的应用在通讯方面。
(二)“电”讯
1837年,萨缪尔·摩斯发明了电报机。1870年,电话被发明。1895年,古列尔莫·马可尼在无线电装置的接收机和发射机上加装天线,成功进行了无线电波传输信号的实验。1896年,他在英国成功进行了14.4公里的通讯试验。1897年,成立马可尼无线电报公司。1901年12月,马可尼研究小组在美国纽芬兰接收到从英国发出的第一个横跨大西洋的无线电信号,这是电离层“反射”无线信号,无线电可以不受地球表面弯曲影响,实现远距离传播。自此,人类的通讯方式发生巨变。1909年,马可尼荣获诺贝尔物理学奖,被后世尊称为“无线电之父”。
1900年,加拿大发明家范信达首度经无线电在1.6公里的距离发出“声音”,在日后发展成收音机广播。调幅和调频是广播讯号的两种方式,调幅是频率保持恒定,调频是振幅保持恒定。1909年,传送8×8解像度影像,1928年用每秒20帧速度传送24条直线,再到后来应用阴极射线管作显像,现在进入数码广播高清时代,电视机解像度是1920×1080°。

调幅与调频传播的分别
通讯人造卫星是一种中继器,传达和放大无线电通讯讯号,需在地面设有发射站和接收站作通讯渠道。地球轨道现有10,000多颗通讯卫星,不受地球地形限制可作远距离通讯。第一颗人造卫星在1957年由苏联发射,通讯频率为20.005兆赫兹和40.002兆赫兹,这也许是人类迈向太空探索的第一步。
1965年,高錕研发光纤通讯技术,提出使用玻璃纤维实现光通讯。如今,一条标准的单模单芯光纤的传送速度可达至每秒10千兆位元。高锟在2009年获诺贝尔物理学奖,被世人尊称为“光纤之父”。第一代1G在1979年研发,差不多每十年就有新一代的研发。我们现在已准备进入6G时代。
五、能源与通讯的发展
近年来,全球能源结构正经历前所未有的转型,新能源技术的崛起,不仅是应对气候变化的关键良策,更是推动经济永续发展的核心动力。可再生能源如太阳能、风能、氢能等清洁能源技术的高速发展,重塑人类社会能源使用模式。传统发电与输配电网转变为智慧电网,同时进一步利用自动化技术和人工智能,优化电力资源调度及管理,使电网能及时应对故障,具备“自我修复”能力。间歇性可再生能源的大规模并网,对电力系统零落下提出更大更高要求。

智慧电网
新能源应用场景不断扩展,在交通领域,有电动汽车、电动船舶、电动飞机(低空经济);在工业领域,绿电、绿氢正逐步替代化石能源,用于钢铁、水泥、化工等高耗能产业的低碳转型;在建筑领域,被动式建筑、零碳建筑等新概念逐步落地,城市建筑物从能源消费者成为“产消者”。通讯方面,超低延迟(约1毫秒)的触觉互联网将是应用的另一个重要里程碑。流动互联网朝着物联网、触觉互联网方向发展,这对于远端手术、工业自动化和沉浸式虚拟实境体验等应用至关重要。触觉互联网有望彻底改变远端物理交互,实现融合实体和虚拟实境的新型通讯、远端操作和沉浸式体验等。
未来,量子通讯将提供理论上绝对安全的通讯方式,有望突破传统的熟读极限,成为通讯安全和数字经济的战略性技术。量子密钥分发技术(QKD)与传统的加密方式不同,它利用量子态的特性分发密钥,能检测到任何痕迹,从而实现“可证明的安全性”。2016年,中国成功发射世界首颗量子科学实验卫星“墨子号”;2017年建成2000公里级量子保密通信骨干网“京沪干线”;2022年,中国科研团队实现1200公里距离的量子纠缠分发,刷新世界纪录,为全球量子通信网络奠定稳固的技术基础。

流动互联网朝着大型物联网、触觉互联网方向前进示意图。
新能源与量子通讯在技术层面相互支撑,在系统层面融合创新,共同推动未来智慧基础设施建设。量子数据中心的高能耗问题可通过清洁能源得到缓解,实现“绿色量子计算”。
六、总结
电是推动人类社会进步的重要力量,是现代社会不可或缺的一环。电的发展,是无数科学家、工程师的智力创新的实践成果。电力行业极具挑战性,能源和通讯的创新和发明是两大重要发展领域,这里还有很多重大课题亟待解决。期望年青一代投身专业工程师行列,在“电”的行业及领域,继往开来。
来源: 科普中国
科普中国公众号
科普中国微博

帮助
科普中国