冲锋衣可谓是今年的打工人必备单品,我们虽然经常穿着它走在上班路上,但很少有人知道,这件轻薄方便又耐磨的衣服,其实承载着90多年前的材料秘密。一切都要从1935年说起......
来源:@寻找开心超人ing
在美国杜邦公司的实验室内,化学家华莱士·卡罗瑟斯博士团队正在进行一项看似不可能的任务。他们计划以煤焦化后获得的苯为起点,结合空气分离的氮气以及水制氢,研发一种全新的材料。
来源:版权图库
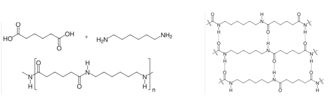
1935年2月28日,团队制得了己二酸和己二胺的共聚物,用它拉制的纤维柔软又坚韧,这种材料被命名为“尼龙”。
不久后, 德国巴斯夫公司则推出了另一种材料,是以己内酰胺为单体聚合的产物,命名为“贝伦”。
左为“尼龙”的化学结构,右为“贝伦”的化学结构
来源:wiki
因为这两种材料性能相近,且都基于6个碳原子聚合而成,己二酸和己二胺都含有6个碳原子,故“尼龙”被称为尼龙6.6(PA6.6);而己内酰胺也含有6个碳原子,故“贝伦”叫做尼龙6(PA6)。

尼龙:才不是因为我很6!
来源:巴斯夫(中国)有限公司
它们不仅自身能形成很长的分子链,在分子链之间,还会因为一种被称为“氢键”的化学作用,形成新的联结纽带,使结构稳定,不容易被外力改变或破坏。
科学家们可能都未曾想到,这一发现将改变人们未来的穿衣方式。自1939年纽约世博会上尼龙丝袜首次亮相后,它便逐渐成为了当时爱美女性的“梦中情袜”。
尼龙丝袜受到当时人们的喜爱
来源:wiki
二战期间,尼龙曾被广泛应用于降落伞和军服上,战争结束后,它重新回到民用领域,80年后的今天,它们已成为户外运动服装的“当家面料”。
人手一件的“出片神器”:彩色冲锋衣来源:版权图库
相对而言,“双六”(PA6.6)的机械性能和耐高温性能更强一些,而“单六”(PA6)则在外观和成本上更加领先,因此在服装等对机械性能要求不高的产品上,通常使用的“单六”。
尼龙早已融入我们生活的方方面面,除了冲锋衣,背包上的织带、运动鞋的网面、瑜伽服打底袜……都可能含有尼龙纤维。不过,对于它的俗称“锦纶”你可能更加熟悉。
来源:版权图库
除了用于制造纤维,它也可以制造从柔软的包装薄膜到坚硬的汽车部件等各种塑料构件。如衣服上的拉链;行李箱的滚轮;手机的保护壳……
来源:版权图库
说了这么多,让我们回到现实中。面对琳琅满目的冲锋衣,怎么选才不会踩坑?
・先想好去哪穿
日常徒步、城市户外——软壳冲锋衣:尼龙纱线细,常和氨纶纤维混纺,轻而柔软透气,更方便舒适。
登山、滑雪等恶劣环境——硬壳冲锋衣:尼龙纱线粗,强度高,密度大,面料硬挺,更耐磨防风。
・关键看“内在”
为了让冲锋衣更防风防水,厂家会采用内衬或内涂层技术,内涂层比内衬防风防水效果更好。
现在常用的涂层技术有两种:
微孔薄膜涂层上有无数个小孔,这些孔的尺寸刚好能让水蒸气通过,但可以挡住液态的水,如雨水等,如大名鼎鼎的Gore-Tex技术。微孔薄膜的绝对防水性更好,但价格较高,为了避免堵塞微孔,还需要特别的洗涤剂护理。
无孔亲水涂层则没有小孔,它的高分子链上有很多亲水基团,能吸收并传递水蒸气分子,让汗液蒸发的水汽跑到衣服外面,但液态水因为体积太大没法通过,这样就能做到“透气不透水”。无孔亲水涂层防水性虽然比不上微孔薄膜,但胜在性价比较高,无须特殊护理。
有涂层的冲锋衣
来源:版权图库
不过,无论采用哪种涂层,冲锋衣的透气性都会受到一定影响,如果有透气需求,要谨慎购买带涂层的冲锋衣。清洗带涂层的冲锋衣时,要尽量使用中性洗涤剂,避免强力揉搓。
人类对优异性能材料的要求从来没有尽头,相信化学科技还能带给我们新的惊喜!
作者:茅昱 巴斯夫(中国)有限公司、殷欣琪 上海科技馆展教中心
策划:一星期
编辑:He Huizi
来源: 上海科技馆
科普中国公众号
科普中国微博

帮助
上海科技馆