糖尿病治疗的故事似乎总在药物之间展开。从二甲双胍到GLP-1受体激动剂,每一次更新都瞄准胰岛素与葡萄糖代谢。但在科学家们重新审视疾病根源时,一个被忽略的角色浮出水面——肠道微生物。越来越多的研究发现,2 型糖尿病患者肠道中某些关键菌群的缺失,与血糖调节障碍息息相关。其中,Akkermansia muciniphila(黏蛋白阿克曼菌)和多种能产生丁酸的厌氧菌,都在患者体内显著减少。而丁酸恰恰是结肠上皮的重要能量来源,也能通过肠-脑轴和免疫信号维持代谢平衡。
基于这一线索,美国旧金山的 Pendulum Therapeutics 团队提出一个大胆设想:如果将这些在糖尿病中消失的菌群重新补回,是否能改善血糖控制?他们据此设计出一种新型多菌株益生菌配方——WBF-011。与市售益生菌不同,它并不依赖嗜酸乳杆菌等常见“食品菌”,而是以功能缺失补偿为原则,选取五种与代谢密切相关的厌氧菌:A. muciniphila、Anaerobutyricum hallii、Clostridium beijerinckii、Clostridium butyricum 以及 Bifidobacterium infantis,并配合菊粉(inulin)作为益生元底物。研究团队希望,这个组合能够恢复肠道中丁酸生成与黏膜屏障的功能,从而帮助控制餐后血糖。
他们在美国六个临床中心发起一项双盲、随机、安慰剂对照试验(注册号 NCT03893422),共招募 76 名已确诊 2 型糖尿病的成年人。这些受试者大多服用二甲双胍,有的还联合磺脲类药物。研究人员将他们随机分成三组:安慰剂组、三菌株配方 WBF-010 组和五菌株配方 WBF-011 组,每日两次,连续 12 周。在整个过程中,受试者继续原有药物治疗和饮食习惯,确保观察到的差异仅来自益生菌干预。

图1|试验设计与主要结果概览
12 周后,结果令人关注。相比安慰剂,WBF-011 组在主要终点——餐后 3 小时血糖曲线下面积(AUC₀₋₁₈₀min)上显著下降 36.1 mg/dL/180 min(p = 0.0500),而安慰剂组反而出现上升趋势。糖化血红蛋白(A1c)平均下降 0.6 个百分点(p = 0.0540),显示长期血糖控制亦有改善。值得注意的是,这些变化并非伴随体重下降或胰岛素敏感性改变,提示益生菌的作用主要集中在餐后血糖波动的缓解。炎症指标如 CRP、IL-6、TNF-α 均无显著变化,也未见对肠道整体菌群结构的扰动,说明干预安全而温和。

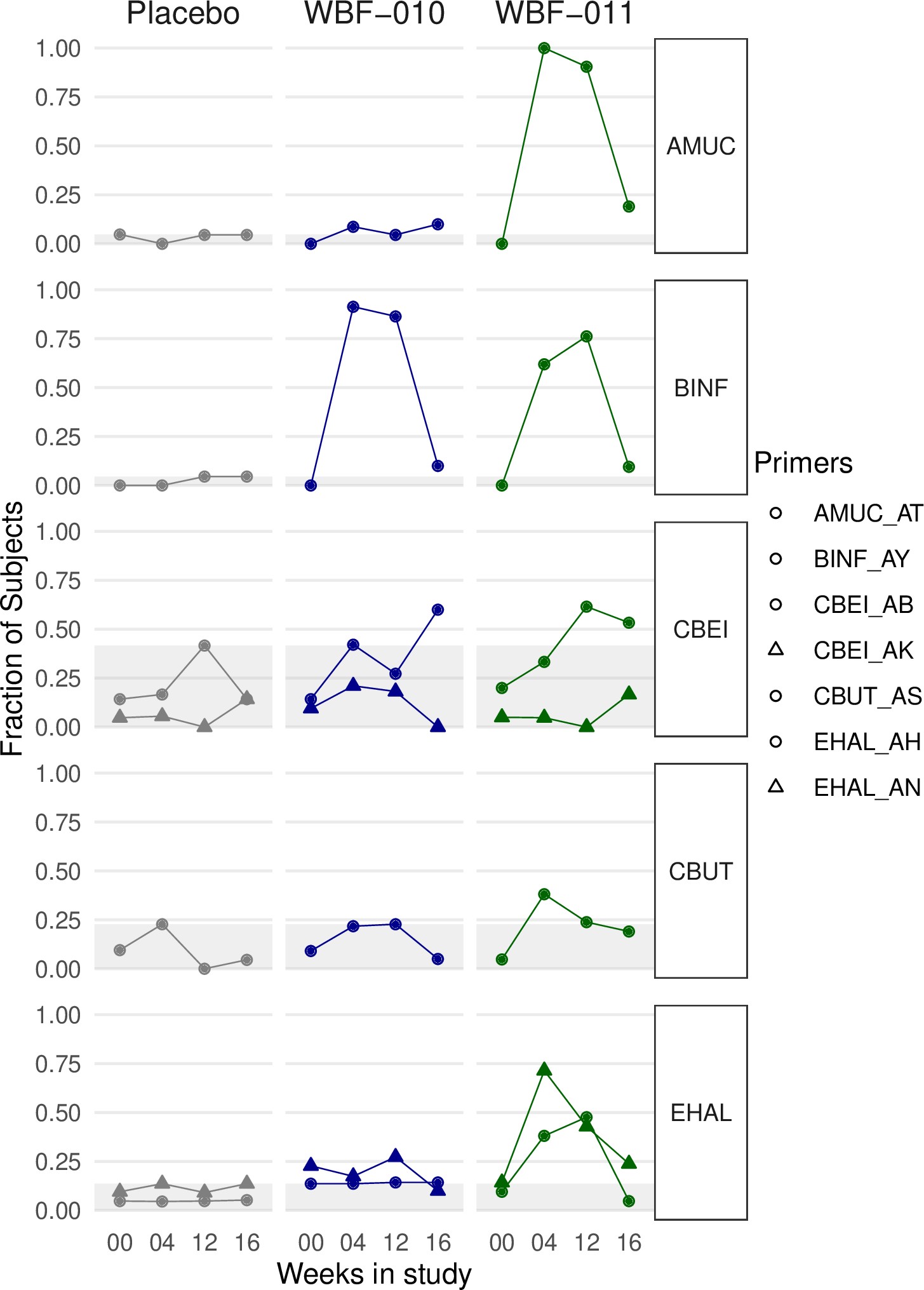
图2|粪便样本中益生菌菌株的检测率
分子检测结果进一步印证了这一点。在服用 WBF-011 的受试者粪便中,研究者能够稳定检出 A. muciniphila 与 B. infantis,而其他三种菌的检出率较低。干预停止四周后,这些菌株的检测率迅速下降,显示它们在体内的定植是可逆的。虽然这种短暂存在似乎难以解释持续的代谢改善,但团队推测,这些菌可能通过代谢信号或产物(如丁酸)间接影响宿主代谢。

图3|受试者粪便短链脂肪酸(SCFA)的变化
在短链脂肪酸分析中,WBF-011 组的丁酸浓度较基线略有上升,与 A1c 改善方向一致。虽然统计学上未达到显著,但这一趋势暗示丁酸代谢可能是介导血糖改善的关键路径。研究团队提醒,粪便中测得的变化只是近端肠道活动的“回声”,真正的代谢信号或许发生在更靠近黏膜的微环境中。
从安全性角度看,WBF-011 表现良好。少数受试者在开始服用初期出现轻微胃肠不适,但持续时间短且自行缓解,发生率甚至低于安慰剂组。研究期间,体重、血脂、炎症指标均保持稳定。对研究者而言,这意味着一种可能的“低风险干预”——它并非药物,却能在维持原治疗方案的同时,为血糖管理带来可量化的收益。
Pendulum 团队在论文结尾谨慎地指出,这仍是一项概念验证研究,样本量有限,观察周期仅 12 周,未来需要更大规模、更长期的试验来验证疗效和持久性。但无论如何,它提供了一个重要信号:在糖尿病管理中,“菌”也可以成为治疗因子。当我们重新理解代谢病,不仅从胰岛β细胞出发,也关注肠黏膜、短链脂肪酸和微生物的代谢网络,治疗的边界便被重新绘制。
在这个意义上,WBF-011 的临床结果不仅关乎一款益生菌产品,而是宣告一种新范式的可能——未来的糖尿病干预,或许不止是调节血糖,而是重塑微生态。这场从“药”到“菌”的转变,正在悄然发生。
参考文献
Perraudeau F, McMurdie P, Bullard J et al.
Improvements to postprandial glucose control in subjects with type 2 diabetes: a multicenter, double blind, randomized placebo-controlled trial of a novel probiotic formulation.
BMJ Open Diabetes Research & Care. 2020; 8:e001319. doi:10.1136/bmjdrc-2020-001319
来源: 合康谱精准医学科普基地
科普中国公众号
科普中国微博

帮助
合康谱精准医学科普基地 