出品:科普中国
作者:杨超(深圳理工大学科普主管、中国科普作家协会会员)
监制:中国科普博览
我们常常听说,在粒子加速器里,电子被加速到接近光速时,它的质量会变得非常大,甚至趋向于无穷大。这听起来既神奇又令人费解,一个原本轻得几乎可以忽略不计的电子,怎么就突然变得这么重了呢?这个说法到底对不对?让我们来一探究竟。
电子“变重”的传说从何而来?
在我们熟悉的牛顿力学中,质量是物体的一个恒定不变的属性,记录着物体的基本信息。无论物体的速度有多快,它的质量都不会发生变化,改变的只有它的速度和动能。
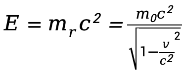
但当我们把电子加速到极高的速度时,如接近光速
,根据爱因斯坦的狭义相对论公式(
,其中m0是电子的静止质量,v是电子的速度,c 是光速),当v 趋近 c 时,分母趋向零,电子的相对质量(mr)会指数级无限增大。例如,当电子以光速99.9%的速度运动时,其相对质量约为其静止质量的22.4倍;而当电子以光速99.999%的速度运动时,其相对质量约为其静止质量的224倍,即电子速度仅增加了0.00099c,但相对质量却跃升了10倍。所以这就是“接近光速时电子质量会变得无穷大”的理论根源。

随速度的增加,电子的能量指数级增加,而质量不变
(图片来源:作者由AI生成)
电子到底“变”了什么?是质量还是能量?
在现代物理学中,相对质量这个概念已不常用,质量指的就是静止质量,也叫不变质量、内禀质量或固有质量,它是一个物体的内禀属性,不随速度变化。电子的静止质量约为
千克,无论它飞得多快,这个值都不变。也就是说,高速运动中的电子并没有变重,那到底变在了哪里?
答案是,电子在加速过程中,变得更有能量、更有动量了,变得越来越难以加速它。此外,当电子的速度越来越接近光速时,电子的能力会趋于无穷大。这意味着,要让电子达到光速,需要无穷大的能量。所以任何有质量的粒子都无法达到光速,只能无限接近。
结语
所以,回到最初的问题,当电子的速度接近光速时,电子不会变重,它的静止质量永远不变,但它的能量会变得非常非常大,会变得越来越难被加速。大型强子对撞机(LHC),它能把电子加速到99.9999991%的光速。这时候,电子的能量可以达到静止能量的7000倍以上,但它的质量——依然是那个小小的
千克。所以,下次再听到电子接近光速会变得无穷重,你可以笑着纠正道不是它变重了,是你得用无穷大的能量才能再推它一把。”
参考文献:
[1] Does mass really depend on velocity, dad? American Journal of Physics, 55 (8), 1987,739–743. doi:10.1119/1.15314
[2] A Novel Mass-Energy Equation from Lorentz Factor and Energy of Motion. SSRN Electronic Journal, 2023, ff10.2139/ssrn.4629897ff. ffhal-04333292f

来源: 中国科普博览
内容资源由项目单位提供
科普中国公众号
科普中国微博

帮助
中国科普博览 