许多人小时候玩过陀螺,陀螺在高速旋转时可以保持不倒,但是一旦停止转动,陀螺就会向某一侧倒下。这是什么原因呢?
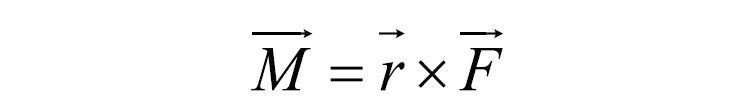
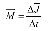
如果大家仔细观察,就会发现下列现象:在陀螺旋转比较快时,陀螺轴线摇晃得慢;在陀螺旋转比较慢时,陀螺轴线摇晃得快;而且,如果陀螺不是稳定在竖直状态,而是在摇晃脑袋的话,那么逆时针转动的陀螺,它的轴线也会逆时针摇晃;顺时针转动的陀螺,它的轴线也会顺时针摇晃。 这个生活中常见的现象,其实具有深刻的物理内涵,需要使用力矩与角动量的概念进行解释。 一.力矩 力矩的概念其实在初中学习过了。 如图:有一个杠杆,O为支点,杠杆可以绕O点转动。在某点作用一个力F,从O点到力F的作用线的距离称为力臂r。力F和力臂r都是有方向的,在物理上叫做矢量。 我们知道:力越大,力臂越长,对物体的转动作用越强。我们用力矩来表示这个转动作用。力矩的表达式为: 按照这种规则,我们可以判定出上图中力F的力矩方向是垂直纸面向里的。 二.角动量 我们再来说说角动量,角动量是一个比较难以理解的概念。对于一个旋转的物体,它的角动量与它的形状、质量、和转动角速度都有关系。对于一个特定物体,它转动得越快,角动量就会越大。在同样的转动角速度下,物体的质量分布远离转轴,就比靠近转轴时角动量大。 例如:一个人手持哑铃转圈,转得越快角动量越大。如果转动速度一定,两手伸直时的角动量就比哑铃缩在胸前时角动量大。 角动量的方向也可以用右手定则来判定。我们用右手握住陀螺,四指指向陀螺的旋转方向,大拇指就指向角动量的方向。也就是说,如果陀螺逆时针旋转,角动量方向向上。如果陀螺顺时针旋转,角动量方向向下。角动量我们用字母 三.角动量守恒 下面就可以讨论力矩M与角动量J的关系了。人们根据牛顿定律进行推导,得到了以下结论: 如果一个物体所受合力矩为零,则角动量守恒。 如果一个物体没有力矩的作用,即 陀螺仪就满足这个特点。一个简单的陀螺仪的结构如下:让陀螺仪中心的圆盘旋转起来之后,无论陀螺仪外圈如何旋转,中心的盘面方向总是保持不动的。现代陀螺仪都是利用这个原理制作的。飞机火箭等都要通过安装陀螺仪来保持平衡。 再比如花样滑冰运动员在转圈时,总是先把两手伸直再开始旋转,然后突然把手伸到头上。因为角动量守恒,她的质量分布更加靠近转轴,那么角速度就会自然变大。 四.角动量定理 如果一个物体有力矩,那么它的角动量就是变化的,而且,就像牛顿第二定律中力与速度变化率成正比那样,物体受到的力矩也与角动量的时间变化率成正比。 这个公式比较复杂,但是我们只需要通过这个公式知道一点: 力矩的方向与角动量的变化方向是相同的,就可以解释旋转中的陀螺为什么不会倒下,而是晃脑袋了。 比如,我们有一个逆时针旋转的陀螺(根据右手定则,他的角动量是向上的)。此时,它受到地面的支持力N和重力G的作用。但支持力N过支点O,所以它没有力臂,因而也就没有力矩。重力G不过支点,存在力臂和力矩。通过右手定则可以判定:重力的力矩的方向是垂直纸面向里的。 那么,这个力矩就会造成陀螺角动量垂直纸面向里变化,也就是轴线绕着垂直地面的直线逆时针旋转,这个过程就称为进动。 换句话说,如果陀螺在图示位置停止转动,重力的力矩会使陀螺向右倒下。但是在陀螺旋转的情况下,重力的力矩造成的结果是使得角动量的方向发生变化,这种变化就是陀螺的轴线绕着中心的z轴转动,但是却不会倒向地面。 如果陀螺转动得比较快,那么角动量就比较大,进动会比较慢;如果陀螺旋转速度慢下来,那么角动量就会变小,但是力矩却没有减小,这样在力矩作用下,陀螺的进动就会比较快。所以我们会发现:在陀螺逐渐慢下来的时候,它晃脑袋的速度反而越来越快,最后倒在地面上。 车轮在旋转的时候也会有角动量,如果自行车稍微倾斜一下,力矩会使得车轮进行进动,整体表现为自行车不会倒下,而是转弯。自行车的问题比较复杂,角动量问题只是其中一小部分。 五.还能再给力一点吗? 还有一个比较有意思的例子是地球。 我们知道,地球也在绕地轴旋转。太阳对地球的引力过地心,不会产生力矩,所以地球的角动量是守恒的。根据刚才说明的规则,地球的角动量方向是指向北极的。 假如北半球站立一个人,他绕着自己的轴逆时针旋转,那么它也会具有与地球方向相同的角动量。但是地球整体的角动量是守恒的,这就意味着这个人会剥夺地球一部分角动量,地球的角动量会减小,转速变慢,一天的时间就会变长,尽管这个变化微乎其微。表示。
,这有可能是因为物体不受力的作用
、或者虽然受到力的作用,但是作用力过转轴,造成没有力臂
。此时,物体的角动量大小和方向都保持不变,称为角动量守恒。角动量守恒的时候,陀螺的转轴方向和转动速度都不会发生变化,即陀螺绕一个固定的转轴以固定的角速度匀速转动。
来源: 李永乐老师
科普中国公众号
科普中国微博

帮助
李永乐老师