作者:MR NOW(中国科学院上海巴斯德研究所)

文章来源于科学大院公众号(ID:kexuedayuan)


作为一个在南方生活的东北人,笔者一直活在巨大的恐惧之中,这种恐惧的来源就是——蟑螂!


没错,南方蟑螂和北方蟑螂根本不是一个量级(图片来源:http://www.sohu.com/a/156030138_627960)

 

俗话说得好,知己知彼,才能百战不殆。为了和蟑螂斗争到底,笔者也着实做了一下功课,下面就和大家好好聊聊蟑螂那些事儿!

 

我的ID是江南蟑螂


先来介绍一下今天故事的主角——蟑螂。


(图片来源:电影《唐伯虎点秋香》)

 

蟑螂,属于节肢动物门、昆虫纲、蜚蠊目,是常见的医学昆虫 。目前发现约6000种,但只有不到1%对人类来说是害虫。蟑螂分布极为广泛,几乎遍布全球。





家居最常见的蟑螂,大的有身长约5.0cm的“南方蟑螂”——美洲大蠊、澳洲蟑螂及短翅斑;小的有体长约1.5cm的“北方蟑螂”——德国小蠊、日本姬以及亚洲蟑螂。家居蟑螂普遍夜行畏光,野外蟑螂因品种而异,趋光性不同。


由于蟑螂分布广泛,因此外貌上也不大一样。除了我们常见的德国小蠊,美洲大蠊之外,还有犀牛蟑螂,马达加斯加蟑螂,香蕉蟑螂等多种不同品种。这些蟑螂对人类都没有什么害处,甚至不少节肢动物爱好者还将它们作为宠物饲养。


A)德国小蠊;B)美洲大蠊;C)澳洲蟑螂;D&E)东方蜚蠊雌&雄(图片来源:维基百科)


古巴蟑螂,又称古巴蜚蠊,香蕉蟑螂,成年后通体绿色,以植物水果为食,纯素食主义者,一般不在室内广泛繁殖,看起来竟有点萌(图片来源:https://www.kqiwen.com/shengwu/18961.html)


犀牛蟑螂,成体可达8cm以上,可存活10年,是世界上最大,寿命最长的蟑螂,有一定的智商,以树干和树叶为食,具有重要的生态作用,非常受大众喜爱的昆虫宠物之一(图片来源:维基百科)


马达加斯加蟑螂,又称非洲发声蠊、马岛发声蟑螂,常被作为宠物饲养,可发出嘶鸣声,无翅,体长5-7cm(图片来源:维基百科)


最美蟑螂,拟瓢蟑螂合集(图片来源:必应图库)


看了上面这些颜值颇高的蟑螂,大家是不是突然有那么一丝心动?但是,对于蟑螂,恻隐之心不能有。虽然绝大多数的蟑螂并不会对人类造成什么危害,但这并不妨碍某些蟑螂成为当今世界防治难度最大的城市卫生害虫。在与人类不懈的斗智斗勇中,蟑螂毫不谦虚地展示着其不服输的精神。


(图片来源:Cockroach Strategies)

 

家居蟑螂行动迅速,食杂且喜欢待在阴暗潮湿的环境。所以它们很可能前脚刚从马桶爬过,后脚就溜进了厨房大快朵颐,顺便引起如食物中毒、麻风、鼠疫、痢疾、肠胃炎、肺炎、哮喘等疾病。


除了传播疾病之外,蟑螂那套原始的咀嚼型口器,可以把任何适口的物品当作磨牙的对象,大到桌椅板凳、小到书籍报刊。如果扩大到更大的范围,蟑螂可以侵入电力系统和公共交通系统,造成地铁等公共交通停运、电力系统突发短路等危害。


蟑螂口器示意图:咀嚼型口器,主要特点是具有发达而坚硬的大颚以嚼碎固体食物。(图片来源:http://dobug.nmns.edu.tw)


一直以来人类都试图将蟑螂从生活中驱逐出去,然而往往都以失败告终。


那么这些家居蟑螂到底有什么特异功能,让它们在人类建造的钢筋水泥的城市丛林中,游刃有余地生活?


一篇于2018年由我国学者发表在《Nature Communication》上的文章《The genomic and functional landscapes of developmental plasticity in the American cockroach》,就对美洲大蠊如何适应城市环境这一问题,作出了较为全面的回答。

 

遍寻美味——蟑螂的“风味人间”


研究团队通过对三种蟑螂(美洲大蠊,澳洲蟑螂,烟棕色蟑螂)的基因组测序,获取超过1TB的数据。并通过与其他蜚蠊目物种进行比较分析,将研究的重点聚焦在了美洲大蠊(以下简称大蠊)上,获悉了它们在城市生存的秘密。


俗话说“民以食为天”,对于蟑螂也不例外。大蠊的食物来源极为广泛,这也是它们能在城市中生活的基础。


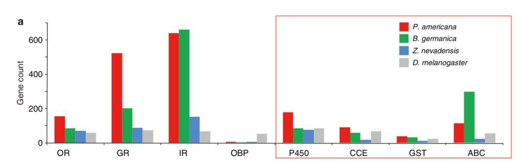
对于昆虫来说,食物的气味主要通过嗅觉感受器(ORs)、味觉感受器(GRs)和离子型谷氨酸受体(IRs)这三种昆虫特异性的感受器来介导。


黑腹果蝇中不同感受器的分布,其中黄色为嗅觉感受器分布,在触角和上颚;绿色为味觉感受器分布,在唇瓣,腿和翅。(图片来源:参考文献[8])


美洲大蠊触角扫描电镜观察:左上图:st1,毛形感受器(sensilla trichodea,type1);右上图:sc1,刺形感受器(sensilla chaetica,type1);左下图:sb1,锥形感受器(sensilla basiconca,type1)。在果蝇研究中曾报道,离子型谷氨酸受体在触角的锥形感受器中被表达,以此调节对挥发性化学线索和温度的响应。 (图片来源:参考文献[9])


研究者在大蠊的基因组中发现了154个嗅觉感受器基因,而其他昆虫(德国小蠊、白蚁、果蝇等)的嗅觉感受器基因最多只有它的一半。扩张的嗅觉感受器基因可以帮助大蠊轻松找到食物,尤其是它们喜欢的发酵食物。


不仅如此,研究者还在大蠊的基因组里发现了522个味觉感受器,这也是迄今为止已有数据中拥有最多味觉感受器的昆虫。这其中有329个苦味感受器。


草食昆虫的苦味感受器扩张可以帮助昆虫应对多种植物的次级代谢产物。大蠊中味觉感受器的大量扩张或许不仅可以解释这种杂食性物种为何能够适应不同环境,也可以通过蟑螂来分析蜚蠊目昆虫在觅食生境演变背景下,从草食到杂食食性的变化。


此外,离子型谷氨酸受体在大蠊中也有增多,达到640个之多。而湿材白蚁的基因中仅发现了148个。在果蝇中,离子型谷氨酸受体可以调节昆虫对挥发性化学物质和温度的响应。因此研究者认为离子型谷氨酸受体与蟑螂强大的环境适应能力相关。


OR:嗅觉感受器; GR:味觉感受器; IR:离子型谷氨酸受体;OBP:气味结合蛋白,产物可结合并转运气味分子给OR。红色:美洲大蠊;绿色:德国小蠊;蓝色:湿木白蚁;灰色:黑腹果蝇

 

抗毒物奇招——蟑螂的“金钟罩与铁布衫”


俗话说“病从口入”。生活环境如此阴暗潮湿,饮食又是胡吃海塞,加之人类不断引入的有毒物质,蟑螂是如何在这种复杂的环境中顺利生活的呢?


对于昆虫来说,一套复杂的,包含多种酶和异型生物质转运蛋白的系统,就是它们对抗毒物的“金钟罩铁布衫”。异型生物质就是指如:合成药物、天然毒药和抗生素等非食物类物质。在昆虫中,异型生物质可在一系列相应代谢酶的作用下被去毒化。


研究人员在大蠊中鉴定了178种细胞色素P450家族成员(CYP450s),90种羧酸/胆碱酯酶,39种谷胱甘肽转移酶和115种ATP结合盒转运蛋白,构成了大蠊独特的解毒排毒系统。相比于其他蜚蠊目物种,大蠊的CYP450s增多。


 

P450、CCE、GST、ABC,均在解毒、排毒系统中扮演重要角色。P450:细胞色素P450。CCE:羧酸/胆碱酯酶。GST:谷胱甘肽转移酶。ABC:ATP结合盒转运蛋白超家族。红色:美洲大蠊;绿色:德国小蠊;蓝色:湿木白蚁;灰色:黑腹果蝇

 

这些酶正是代谢异型生物质的重要环节,而异型生物质又是人类用以消灭蟑螂使用的多种杀虫剂和药物的主要成分。


对抗人类引入的化学毒物,蟑螂可以做到“百毒不侵”;对抗自然环境中的有害微生物,蟑螂更是毫不畏惧。


昆虫应对病原菌感染主要依靠自身的免疫系统。其天然免疫主要由三条信号通路介导,分别是:Imd、Toll和JAK-STAT。研究人员发现,三条通路中所有与天然免疫相关的重要信号分子在大蠊基因中均可发现。相比于其他昆虫,Toll通路中的分子在大蠊中有显著性地扩张。在果蝇中发现的Toll蛋白有9种,但是在大蠊中研究人员发现了多达14种!


从左至右依次为昆虫IMD、TOLL、JAK-STAT信号通路示意图。其中红色代表在大蠊中有显著性扩张的信号分子。灰色代表果蝇特有的信号分子。(图片来源:参考文献[1])

 

随后研究人员将革兰氏阴/阳性菌和真菌注射给大蠊,获得大蠊粗提物来检测被感染后大蠊体内的抗菌肽活性。研究发现,大蠊面对革兰氏阴/阳性菌以及真菌时,均可产生不同程度的抗菌作用。经过进一步验证,研究人员发现,Toll信号通路和抗菌肽在大蠊对抗病原菌的过程中,起到了重要的作用。


所以大家现在明白了吧,无论是化学杀虫剂,还是天然细菌和真菌,大蠊都自有应对的办法。

 

无惧损伤——蟑螂的“断肢再生”


提到断肢再生,大家最先想到的可能是壁虎的“自截”。但断肢再生绝不是壁虎的专利。


在对果蝇和脊椎动物的研究中,研究人员已经发现多种信号通路与伤口愈合和组织修复有关,例如Decapentaplegic (Dpp), Jun N-terminal kinase (JNK), Grainy head (GRH), Wingless (Wg), Notch, Hippo, 和Hedgehog (Hh) 。而这7条通路中的关键分子在美洲大蠊基因中同样被发现。


研究团队通过实验证明Dpp通路在蟑螂断肢再生过程中对其伤口愈合和组织再生起到关键作用。但是这种断肢再生能力和恢复的程度与损伤的程度也是有一定的关系的,如果损伤或缺失太严重,“小强”再强也是无能为力。


a)蟑螂腿部示意图,由上至下分别为:身体(body)、基节(coxa)、转节(trochanter)、腿节(femur)、胫节(tibia)、跗节(tarsus),结果图中灰色为完整蟑螂腿,从左至右分别为不同程度缺失对大蠊断肢再生的影响,“+”越多代表恢复越完全;b)敲除Dpp或Mad基因后,大蠊就失去了它的再生能力。

 

不仅如此,大蠊的“再生”还体现在它们极强的繁殖能力上。


大蠊的一生大概有700天左右,进入成虫期后,便可以周期性的进行繁殖。然而它们的成虫期,有将近600天之多!所以家里哪怕只有一只雄大蠊和一只雌大蠊,在短时间里,它们就可以建立一个充满生机的世界!


即使只有雌性大蠊孤零零的一只虫,那也没有关系,“孤雌生殖”这项优秀的技能也能让它们在短期内成功占据新的领地!


如果生活环境中的“食物”非常充足,大蠊还能缩短自己发育成成虫的时间,提前成熟起来……即使没了头,它们也还可以继续存活一个星期,直到因为缺乏食物而死亡。

 


看完以上关于蟑螂的“调查”,笔者是绝望了……要想战胜小强,真是“难于上青天”啊!

 



来源: 科学大院